Войти на сайт
(
)
Сборник задач и упражнений по химии И.Г. Хомченко (11 класс)
Номер задания
28.16
|
28.17
|
28.18
|
28.19
|
28.20
|
28.21
|
28.22
28.23
|
28.24
|
28.25
|
28.26
|
28.27
|
28.28
|
28.29
28.30
|
28.31
|
28.32
|
28.33
|
28.34
|
28.35
|
28.36
28.37
|
28.38
|
28.39
|
28.40
|
28.41
|
28.42
|
28.43
28.44
|
28.45
|
29.1
|
29.2
|
29.3
|
29.4
|
29.5
29.6
|
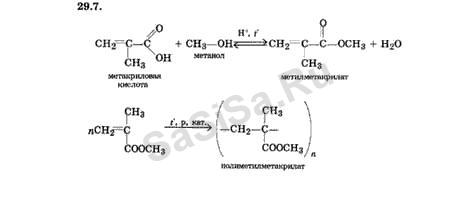
29.7
|
29.8
|
29.9
|
29.10
|
29.11
|
29.12
29.13
|
29.14
|
30.1
|
30.2
|
30.3
|
30.4
|
30.5
30.6
|
30.7
|
30.8
|
30.9
|
30.10
|
30.11
|
30.12
30.13
|
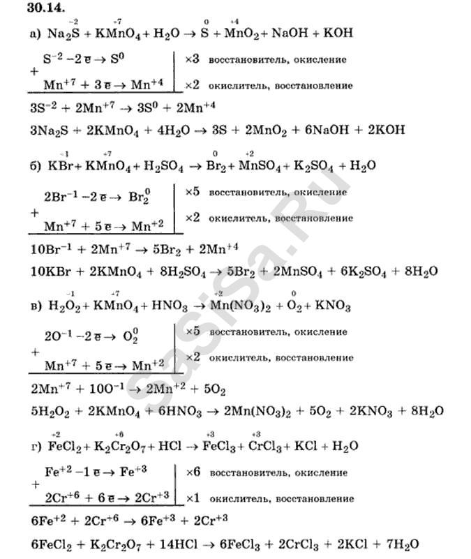
30.14
|
30.15
|
30.16
|
30.17
|
30.18
|
30.19
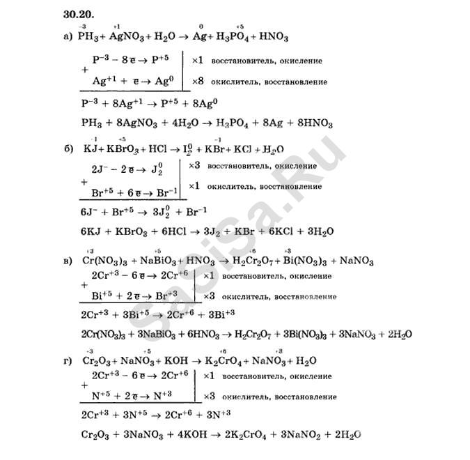
30.20
|
30.21
|
30.22
|
30.23
|
30.24
|
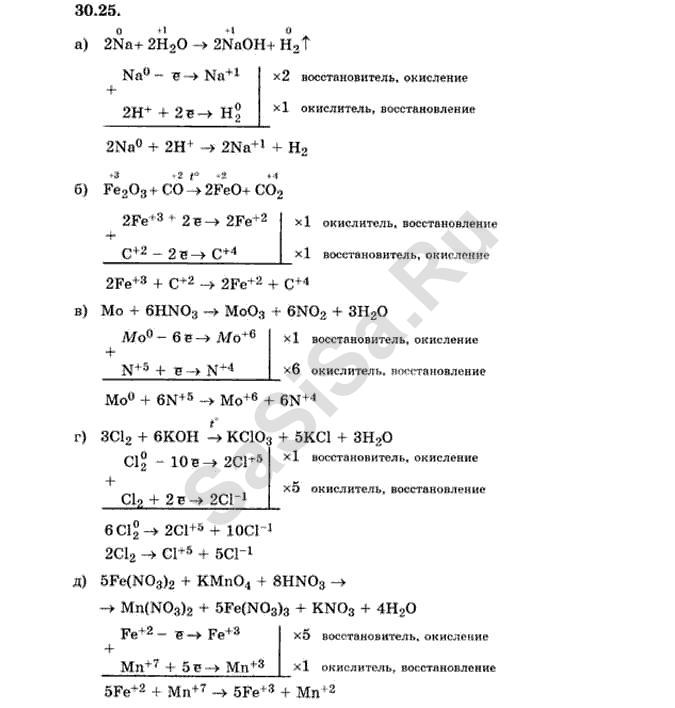
30.25
|
30.26
Далее »
« Назад
Страница:
1
,
2
,
3
,
4
,
5
,
6
,
7
,
8
,
9
,
10
Химия, 11 Класс
Школьный раздел
Сервисы
|
Главная
(c)
m.sasisa.cc