Войти на сайт
(
)
Сборник задач по физике для 10-11 классов. Степанова Г.Н. (11 класс)
Номер задания
141
|
142
|
143
|
144
|
145
|
146
|
147
148
|
149
|
150
|
151
|
152
|
153
|
154
155
|
156
|
157
|
158
|
159
|
160
|
161
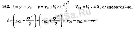
162
|
163
|
164
|
165
|
166
|
168
|
169
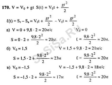
170
|
171
|
172
|
173
|
174
|
175
|
176
177
|
178
|
179
|
180
|
181
|
182
|
183
184
|
185
|
186
|
187
|
188
|
190
|
191
192
|
193
|
194
|
195
|
196
|
197
|
198
199
|
200
|
201
|
202
|
203
|
204
|
205
206
|
207
|
208
|
210
|
211
|
212
|
213
Далее »
« Назад
Страница:
1
,
2
,
3
,
4
...
24
,
25
,
26
Физика, 11 Класс
Школьный раздел
Сервисы
|
Главная
(c)
m.sasisa.cc