Войти на сайт
(
)
Сборник задач по физике для 10-11 классов. Степанова Г.Н. (11 класс)
Номер задания
1
|
2
|
3
|
4
|
5
|
6
|
7
8
|
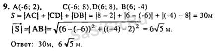
9
|
10
|
11
|
12
|
13
|
14
15
|
16
|
17
|
18
|
19
|
20
|
21
22
|
23
|
24
|
25
|
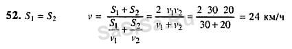
26
|
27
|
28
29
|
30
|
31
|
32
|
33
|
34
|
35
36
|
37
|
38
|
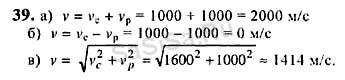
39
|
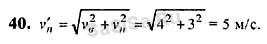
40
|
41
|
42
43
|
44
|
45
|
46
|
47
|
48
|
49
50
|
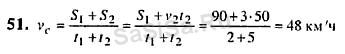
51
|
52
|
53
|
54
|
55
|
56
57
|
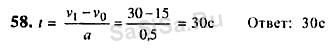
58
|
59
|
60
|
61
|
62
|
63
64
|
65
|
66
|
67
|
68
|
69
|
70
Далее »
Страница:
1
,
2
,
3
...
24
,
25
,
26
Физика, 11 Класс
Школьный раздел
Сервисы
|
Главная
(c)
m.sasisa.cc