Войти на сайт
(
)
Геометрия 10-11 класс. Атанасян Л.С. (11 класс)
Номер задания
702
|
703
|
704
|
705
|
706
|
707
|
708
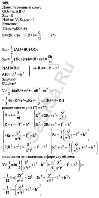
709
|
710
|
711
|
712
|
713
|
714
|
715
716
|
717
|
718
|
719
|
720
|
721
|
722
723
|
724
|
« Назад
Страница:
1
,
2
,
3
,
4
,
5
,
6
,
7
,
8
,
9
Геометрия, 11 Класс
Школьный раздел
Сервисы
|
Главная
(c)
m.sasisa.cc