Войти на сайт
(
)
Сборник задач по математике для поступающих в вузы. Группа В. Сканави М.И. (11 класс)
Номер задания
3.415
|
3.416
|
3.417
|
3.418
|
3.419
|
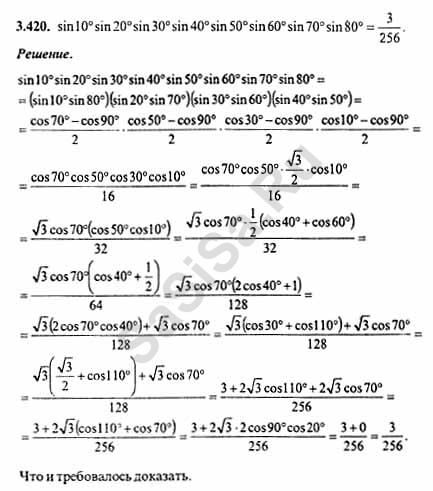
3.420
|
3.421
3.422
|
3.423
|
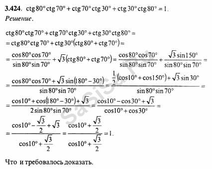
3.424
|
3.425
|
3.426
|
3.427
|
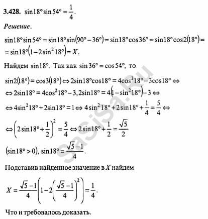
3.428
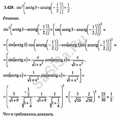
3.429
|
3.430
|
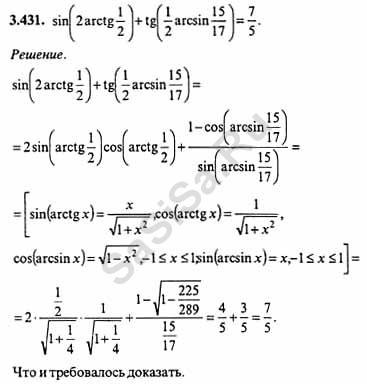
3.431
|
3.432
|
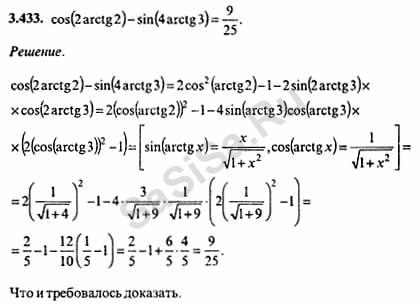
3.433
|
3.434
|
3.435
3.436
|
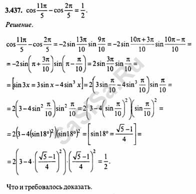
3.437
|
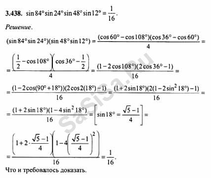
3.438
|
3.439
|
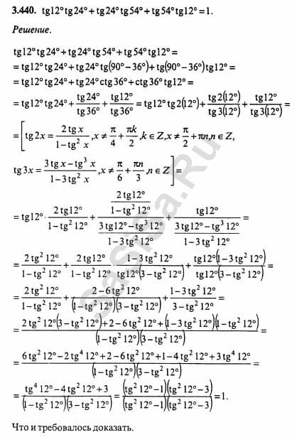
3.440
|
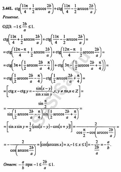
3.441
|
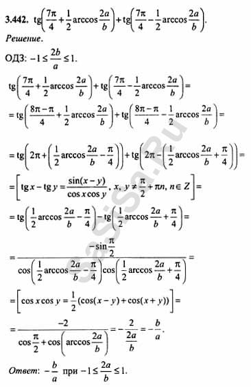
3.442
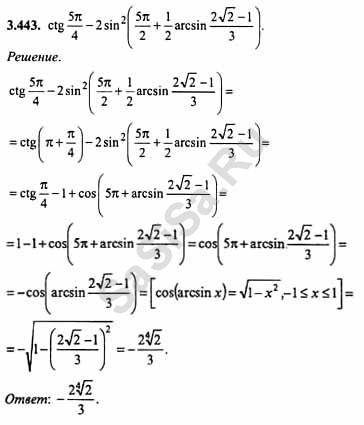
3.443
|
3.444
|
3.445
|
3.446
|
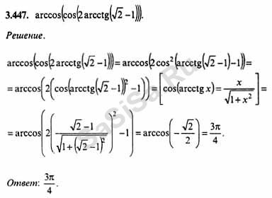
3.447
|
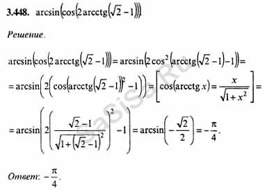
3.448
|
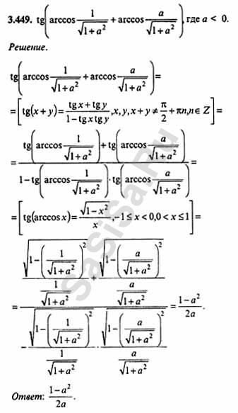
3.449
3.450
|
3.451
|
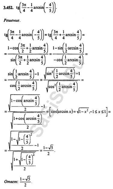
3.452
|
3.453
|
3.454
|
3.455
|
3.456
3.457
|
3.458
|
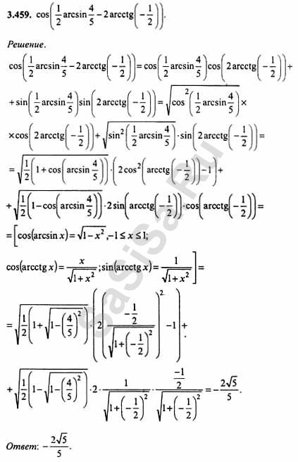
3.459
|
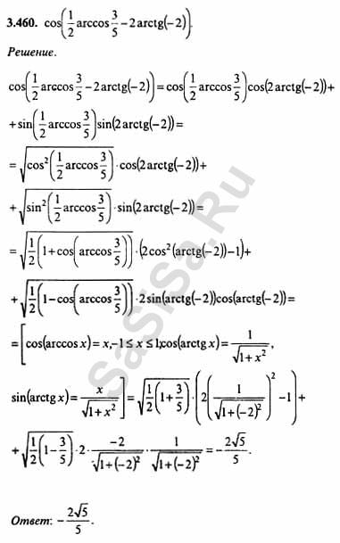
3.460
|
3.461
|
3.462
|
3.463
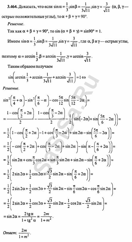
3.464
|
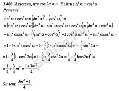
3.466
|
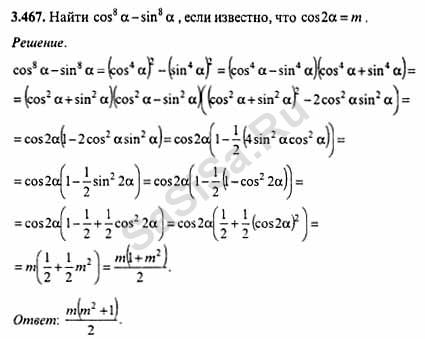
3.467
|
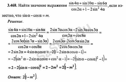
3.468
|
3.469
|
3.470
|
3.471
3.472
|
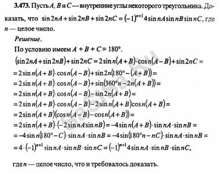
3.473
|
3.474
|
3.475
|
3.476
|
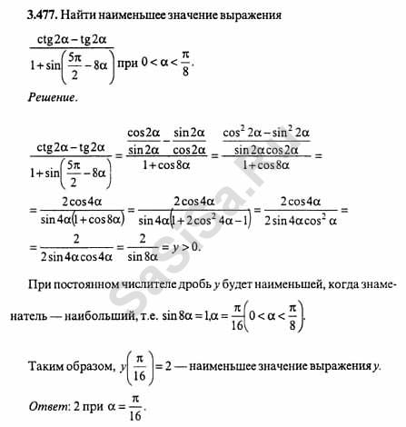
3.477
|
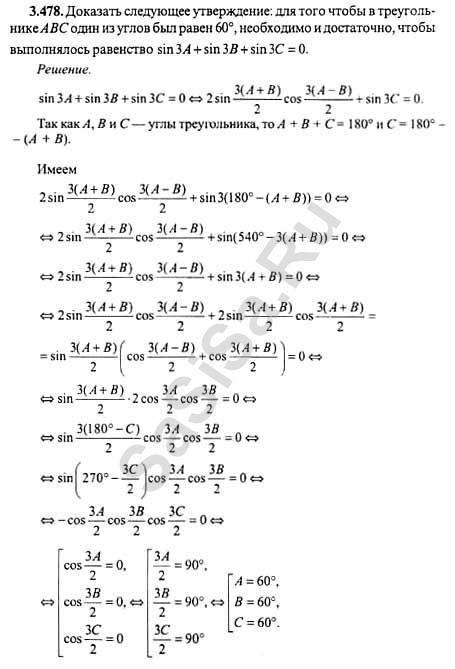
3.478
3.479
|
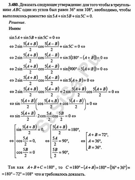
3.480
|
3.481
|
3.482
|
3.483
|
3.484
|
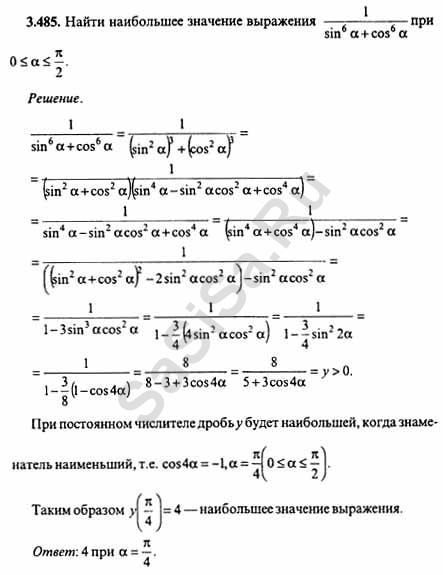
3.485
Далее »
« Назад
Страница:
1
,
2
,
3
, ...
27
,
28
,
29
Алгебра, 11 Класс
Школьный раздел
Сервисы
|
Главная
(c)
m.sasisa.cc