Войти на сайт
(
)
Сборник задач по математике для поступающих в вузы. Группа В. Сканави М.И. (11 класс)
Номер задания
17.078
|
17.079
|
17.080
|
17.081
|
17.083
|
17.084
|
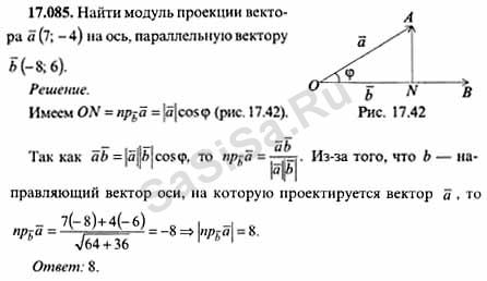
17.085
17.086
|
17.087
|
17.088
|
17.089
|
17.090
|
17.091
|
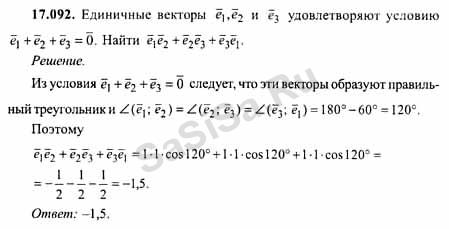
17.092
17.093
|
17.094
|
17.095
|
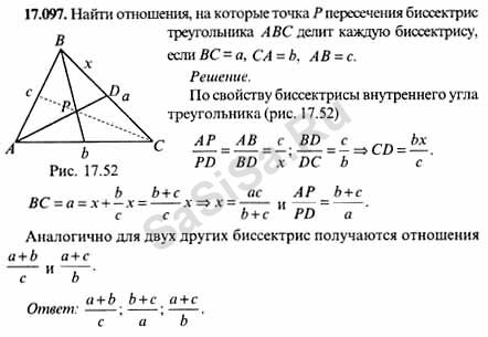
17.097
|
17.098
|
17.099
|
17.100
17.101
|
17.102
|
17.103
|
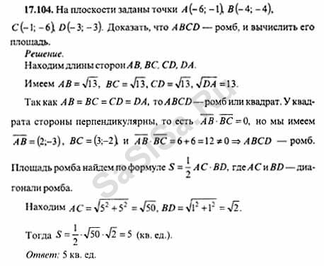
17.104
|
17.105
|
17.106
|
17.107
17.108
|
17.109
|
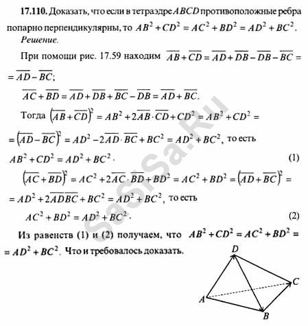
17.110
|
17.111
|
17.112
|
17.113
|
17.114
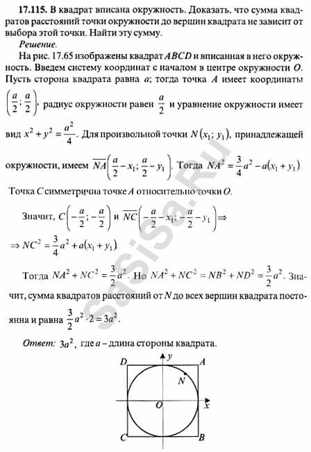
17.115
|
17.116
|
17.117
|
17.118
|
17.119
|
17.120
|
17.121
17.122
|
17.123
|
17.124
|
17.125
|
17.126
|
17.127
|
17.128
17.129
|
17.130
|
18.001
|
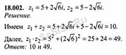
18.002
|
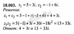
18.003
|
18.004
|
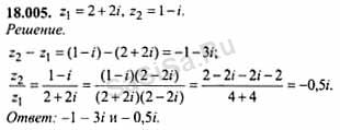
18.005
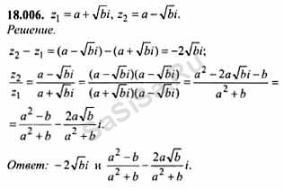
18.006
|
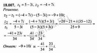
18.007
|
18.008
|
18.009
|
18.010
|
18.011
|
18.012
18.013
|
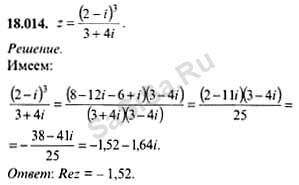
18.014
|
18.015
|
18.016
|
18.017
|
18.018
|
18.019
Далее »
« Назад
Страница:
1
,
2
,
3
...
25
,
26
,
27
,
28
,
29
Алгебра, 11 Класс
Школьный раздел
Сервисы
|
Главная
(c)
m.sasisa.cc