Войти на сайт
(
)
Алгебра и начала анализа. Задачник для 10-11 классов. Мордкович А.Г. (11 класс)
Номер задания
71
|
72
|
73
|
74
|
75
|
76
|
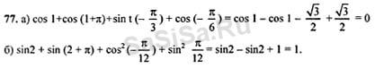
77
78
|
79
|
80
|
81
|
82
|
83
|
84
85
|
86
|
87
|
88
|
89
|
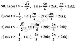
90
|
91
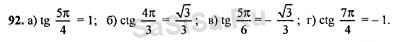
92
|
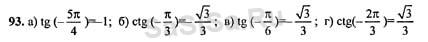
93
|
94
|
95
|
96
|
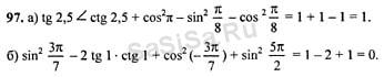
97
|
98
99
|
100
|
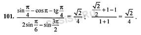
101
|
102
|
103
|
104
|
105
106
|
107
|
108
|
109
|
110
|
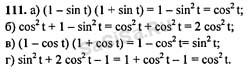
111
|
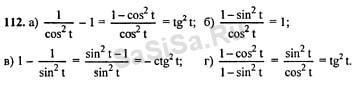
112
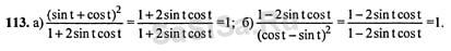
113
|
114
|
115
|
116
|
117
|
118
|
119
120
|
121
|
122
|
123
|
124
|
125
|
126
127
|
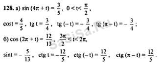
128
|
129
|
130
|
131
|
132
|
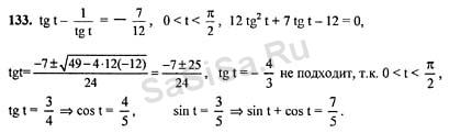
133
134
|
135
|
136
|
137
|
138
|
139
|
140
Далее »
« Назад
Страница:
1
,
2
,
3
, ...
25
,
26
,
27
Алгебра, 11 Класс
Школьный раздел
Сервисы
|
Главная
(c)
m.sasisa.cc