Войти на сайт
(
)
Алгебра и начала анализа. Задачник для 10-11 классов. Мордкович А.Г. (11 класс)
Номер задания
423
|
424
|
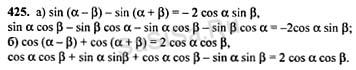
425
|
426
|
427
|
428
|
429
430
|
431
|
432
|
433
|
434
|
435
|
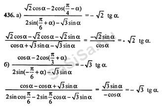
436
437
|
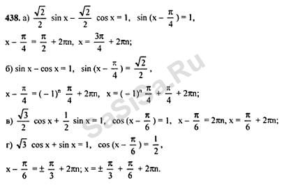
438
|
439
|
440
|
441
|
442
|
443
444
|
445
|
446
|
447
|
448
|
449
|
450
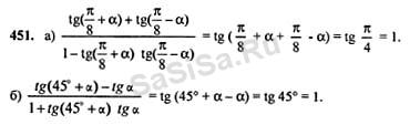
451
|
452
|
453
|
454
|
455
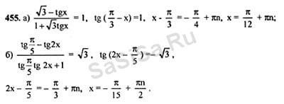
|
456
|
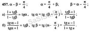
457
458
|
459
|
460
|
461
|
462
|
463
|
464
465
|
466
|
467
|
468
|
469
|
470
|
471
472
|
473
|
474
|
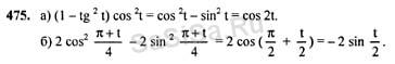
475
|
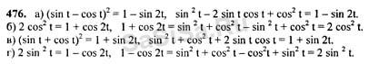
476
|
477
|
478
479
|
480
|
481
|
482
|
483
|
484
|
485
486
|
487
|
488
|
489
|
490
|
491
|
492
Далее »
« Назад
Страница:
1
,
2
,
3
...
6
,
7
,
8
...
25
,
26
,
27
Алгебра, 11 Класс
Школьный раздел
Сервисы
|
Главная
(c)
m.sasisa.cc