Войти на сайт
(
)
Алгебра и начала анализа. Задачник для 10-11 классов. Мордкович А.Г. (11 класс)
Номер задания
352
|
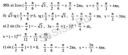
353
|
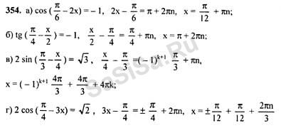
354
|
355
|
356
|
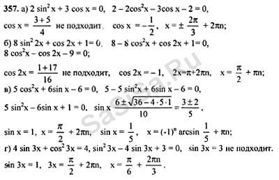
357
|
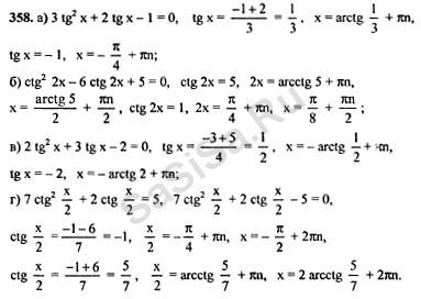
358
359
|
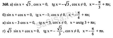
360
|
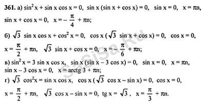
361
|
362
|
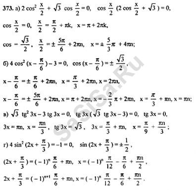
363
|
364
|
365
366
|
367
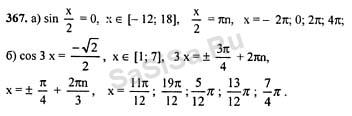
|
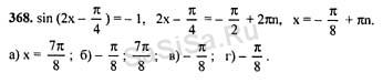
368
|
369
|
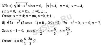
370
|
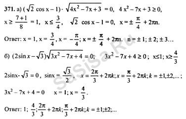
371
|
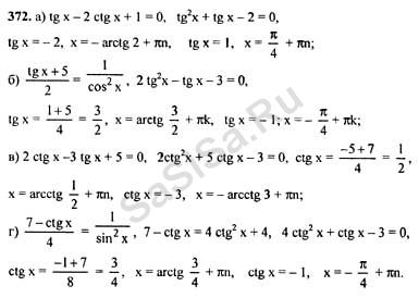
372
373
|
374
|
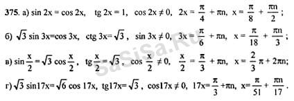
375
|
376
|
377
|
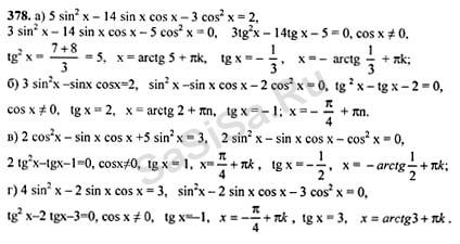
378
|
379
380
|
381
|
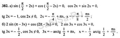
382
|
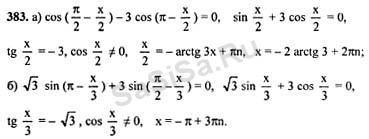
383
|
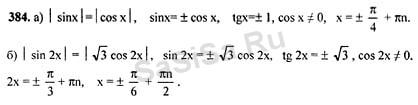
384
|
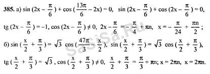
385
|
386
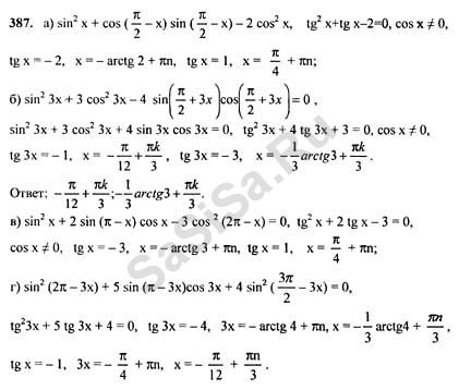
387
|
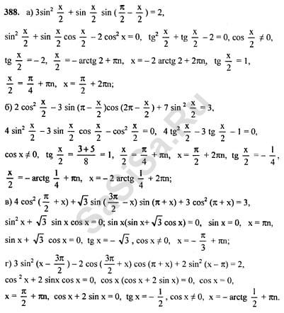
388
|
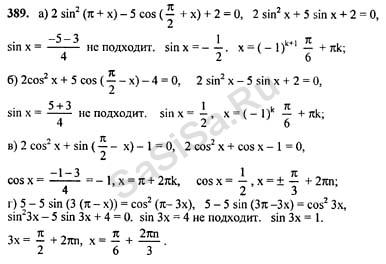
389
|
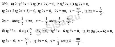
390
|
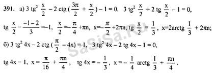
391
|
393
|
394
395
|
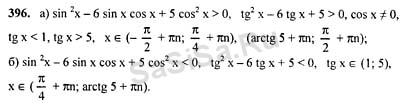
396
|
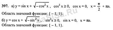
397
|
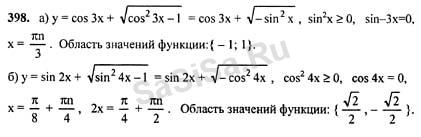
398
|
399
|
400
|
401
402
|
403
|
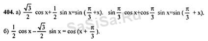
404
|
405
|
406
|
407
|
408
409
|
410
|
411
|
412
|
413
|
414
|
415
416
|
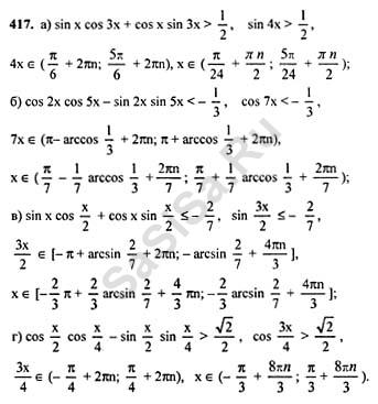
417
|
418
|
419
|
420
|
421
|
422
Далее »
« Назад
Страница:
1
,
2
,
3
...
5
,
6
,
7
...
25
,
26
,
27
Алгебра, 11 Класс
Школьный раздел
Сервисы
|
Главная
(c)
m.sasisa.cc