Войти на сайт
(
)
Алгебра и начала анализа. Задачник для 10-11 классов. Мордкович А.Г. (11 класс)
Номер задания
282
|
283
|
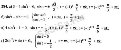
284
|
285
|
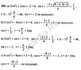
286
|
287
|
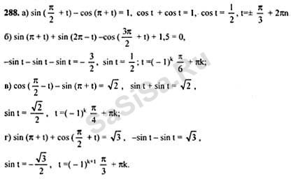
288
289
|
290
|
291
|
292
|
293
|
294
|
295
296
|
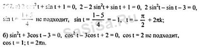
297
|
298
|
299
|
300
|
301
|
302
303
|
304
|
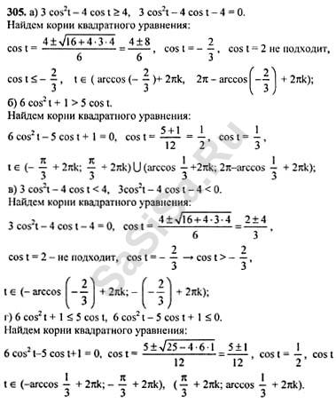
305
|
306
|
307
|
308
|
309
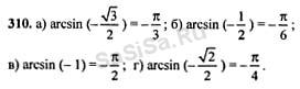
310
|
311
|
312
|
313
|
314
|
315
|
316
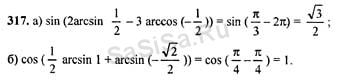
317
|
318
|
319
|
320
|
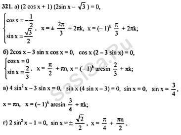
321
|
322
|
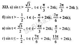
323
324
|
325
|
326
|
327
|
328
|
329
|
330
331
|
332
|
333
|
334
|
335
|
336
|
337
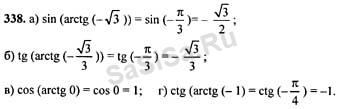
338
|
339
|
340
|
341
|
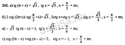
342
|
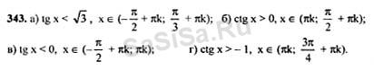
343
|
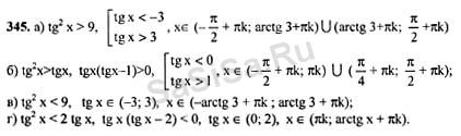
344
345
|
346
|
347
|
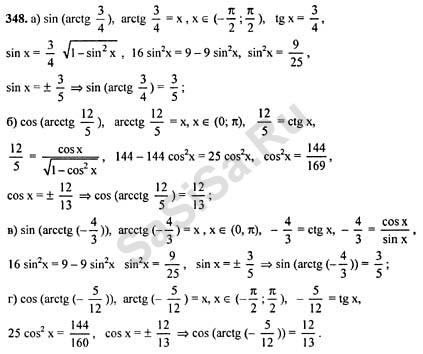
348
|
349
|
350
|
351
Далее »
« Назад
Страница:
1
,
2
,
3
,
4
,
5
,
6
...
25
,
26
,
27
Алгебра, 11 Класс
Школьный раздел
Сервисы
|
Главная
(c)
m.sasisa.cc