Войти на сайт
(
)
Алгебра и начала анализа. Задачник для 10-11 классов. Мордкович А.Г. (11 класс)
Номер задания
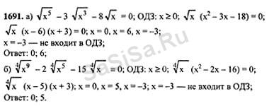
1691
|
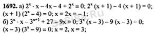
1692
|
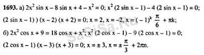
1693
|
1694
|
1695
|
1696
|
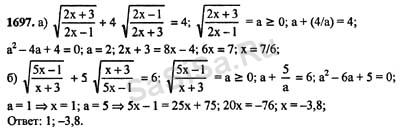
1697
1698
|
1699
|
1700
|
1701
|
1702
|
1703
|
1704
1705
|
1706
|
1707
|
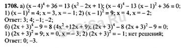
1708
|
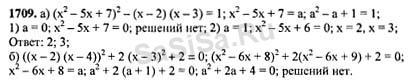
1709
|
1710
|
1711
1712
|
1713
|
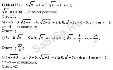
1714
|
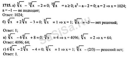
1715
|
1716
|
1717
|
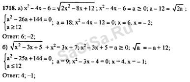
1718
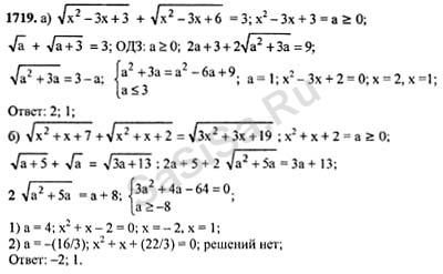
1719
|
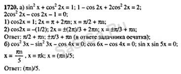
1720
|
1721
|
1722
|
1723
|
1724
|
1725
1726
|
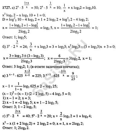
1727
|
1728
|
1729
|
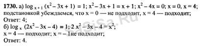
1730
|
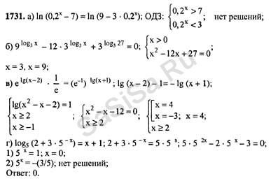
1731
|
1732
1733
|
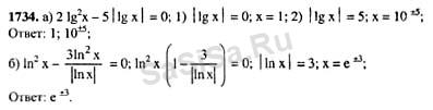
1734
|
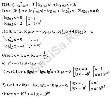
1735
|
1736
|
1737
|
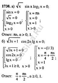
1738
|
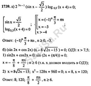
1739
1740
|
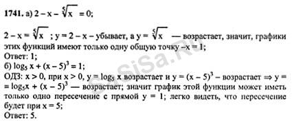
1741
|
1742
|
1743
|
1744
|
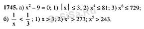
1745
|
1746
1747
|
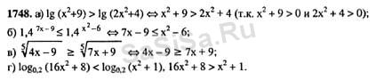
1748
|
1749
|
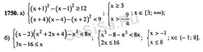
1750
|
1751
|
1752
|
1753
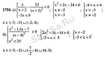
1754
|
1755
|
1756
|
1757
|
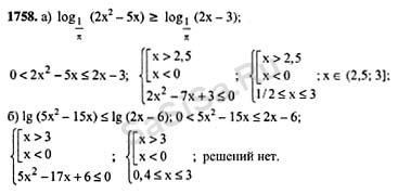
1758
|
1759
|
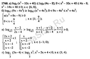
1760
Далее »
« Назад
Страница:
1
,
2
,
3
...
24
,
25
,
26
,
27
Алгебра, 11 Класс
Школьный раздел
Сервисы
|
Главная
(c)
m.sasisa.cc