Войти на сайт
(
)
Алгебра и начала анализа. Задачник для 10-11 классов. Мордкович А.Г. (11 класс)
Номер задания
141
|
142
|
143
|
144
|
145
|
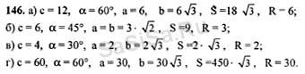
146
|
147
148
|
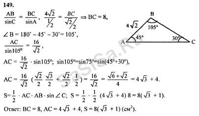
149
|
150
|
151
|
152
|
153
|
154
155
|
156
|
157
|
158
|
159
|
160
|
161
162
|
163
|
164
|
165
|
166
|
167
|
168
169
|
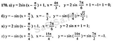
170
|
171
|
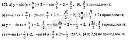
172
|
173
|
174
|
175
176
|
177
|
178
|
179
|
180
|
181
|
182
183
|
184
|
185
|
186
|
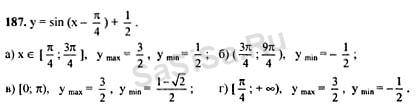
187
|
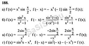
188
|
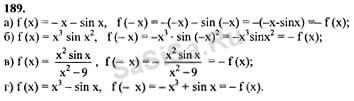
189
190
|
191
|
192
|
193
|
194
|
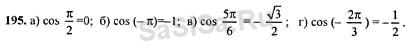
195
|
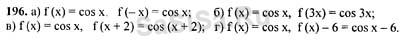
196
197
|
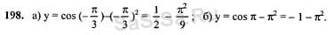
198
|
199
|
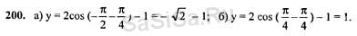
200
|
201
|
202
|
203
204
|
205
|
206
|
207
|
208
|
209
|
210
Далее »
« Назад
Страница:
1
,
2
,
3
,
4
...
25
,
26
,
27
Алгебра, 11 Класс
Школьный раздел
Сервисы
|
Главная
(c)
m.sasisa.cc