Войти на сайт
(
)
Алгебра и начала анализа 10-11 класс. Алимов Ш.А. (11 класс)
Номер задания
926
|
927
|
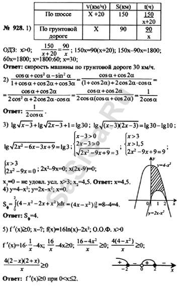
928
|
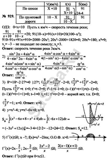
929
|
930
|
931
|
932
933
|
1
|
2
|
3
|
4
|
5
|
1
2
|
3
|
4
|
« Назад
Страница:
1
,
2
,
3
...
12
,
13
,
14
Алгебра, 11 Класс
Школьный раздел
Сервисы
|
Главная
(c)
m.sasisa.cc