Войти на сайт
(
)
Алгебра и начала анализа 10-11 класс. Алимов Ш.А. (11 класс)
Номер задания
856
|
857
|
858
|
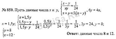
859
|
860
|
861
|
862
863
|
864
|
865
|
866
|
867
|
868
|
869
870
|
871
|
872
|
873
|
874
|
875
|
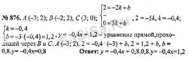
876
877
|
878
|
879
|
880
|
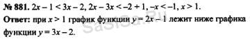
881
|
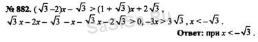
882
|
883
884
|
885
|
886
|
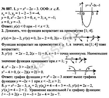
887
|
888
|
889
|
890
891
|
892
|
893
|
894
|
895
|
896
|
897
898
|
899
|
900
|
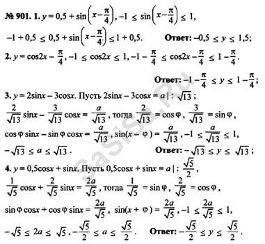
901
|
902
|
903
|
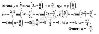
904
905
|
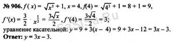
906
|
907
|
908
|
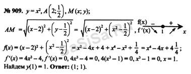
909
|
910
|
911
912
|
913
|
914
|
915
|
916
|
917
|
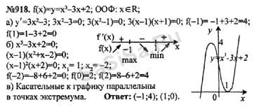
918
919
|
920
|
921
|
922
|
923
|
924
|
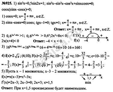
925
Далее »
« Назад
Страница:
1
,
2
,
3
... ,
12
,
13
,
14
Алгебра, 11 Класс
Школьный раздел
Сервисы
|
Главная
(c)
m.sasisa.cc