Войти на сайт
(
)
Алгебра и начала анализа 10-11 класс. Алимов Ш.А. (11 класс)
Номер задания
786
|
787
|
788
|
789
|
790
|
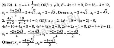
791
|
792
793
|
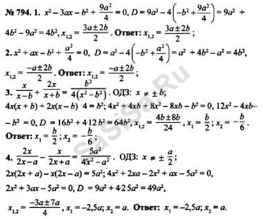
794
|
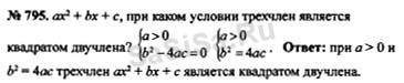
795
|
796
|
797
|
798
|
799
800
|
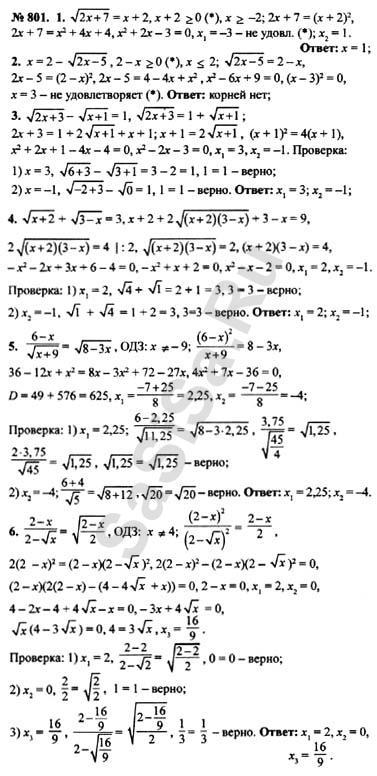
801
|
802
|
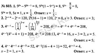
803
|
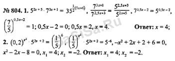
804
|
805
|
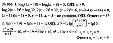
806
807
|
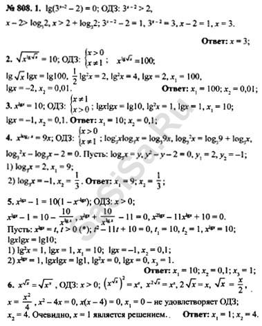
808
|
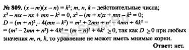
809
|
810
|
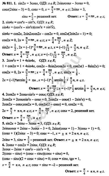
811
|
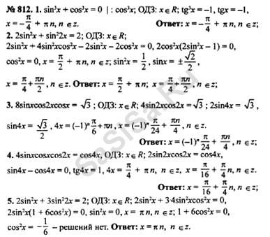
812
|
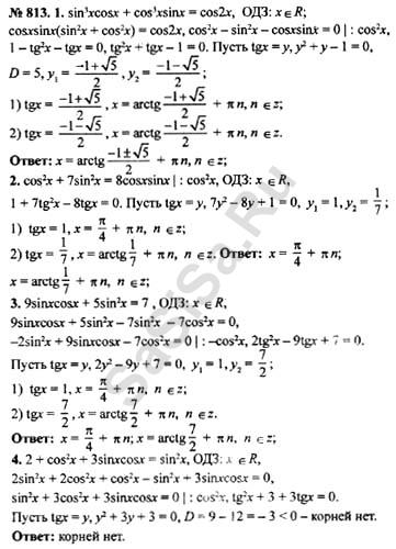
813
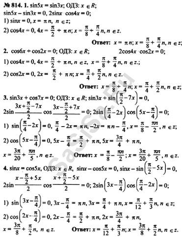
814
|
815
|
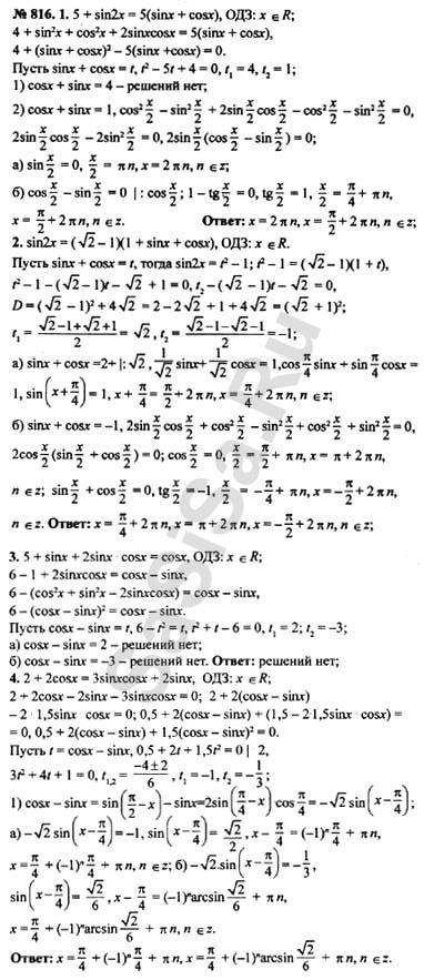
816
|
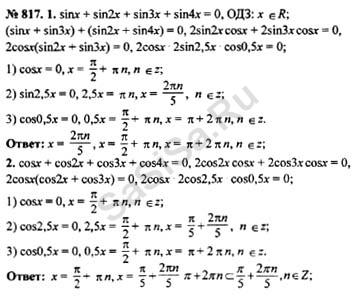
817
|
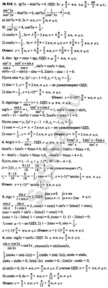
818
|
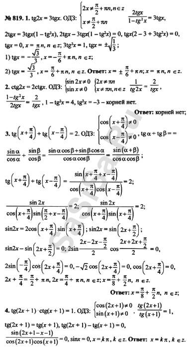
819
|
820
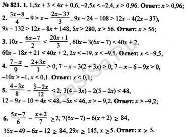
821
|
822
|
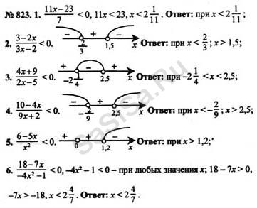
823
|
824
|
825
|
826
|
827
828
|
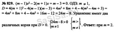
829
|
830
|
831
|
832
|
833
|
834
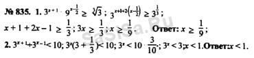
835
|
836
|
837
|
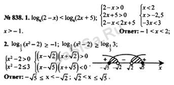
838
|
839
|
840
|
841
842
|
843
|
844
|
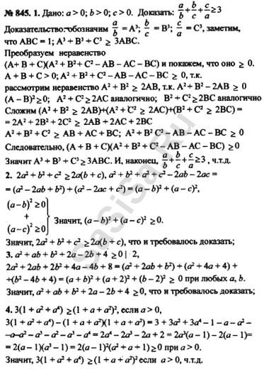
845
|
846
|
847
|
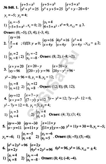
848
849
|
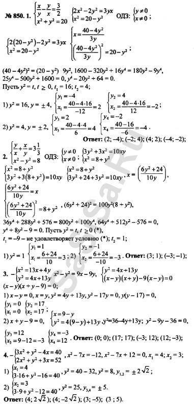
850
|
851
|
852
|
853
|
854
|
855
Далее »
« Назад
Страница:
1
,
2
,
3
...
11
,
12
,
13
,
14
Алгебра, 11 Класс
Школьный раздел
Сервисы
|
Главная
(c)
m.sasisa.cc