Войти на сайт
(
)
Алгебра и начала анализа 10-11 класс. Алимов Ш.А. (11 класс)
Номер задания
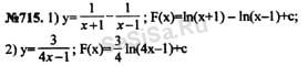
715
|
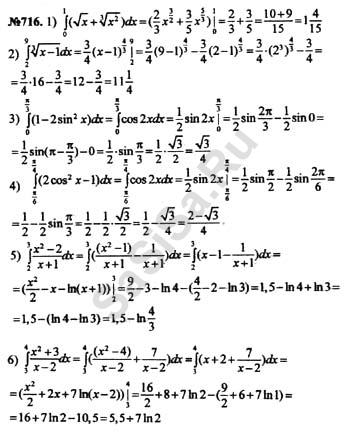
716
|
717
|
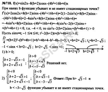
718
|
719
|
720
|
721
722
|
723
|
724
|
725
|
726
|
727
|
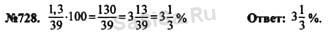
728
729
|
730
|
731
|
732
|
733
|
734
|
735
736
|
737
|
738
|
739
|
740
|
741
|
742
743
|
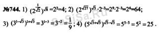
744
|
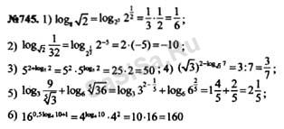
745
|
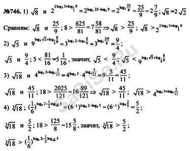
746
|
747
|
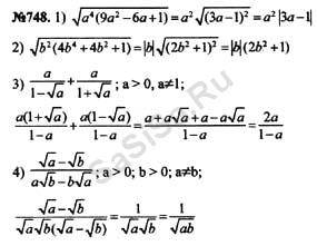
748
|
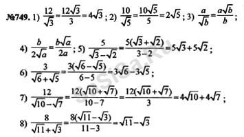
749
750
|
751
|
752
|
753
|
754
|
755
|
756
757
|
758
|
759
|
760
|
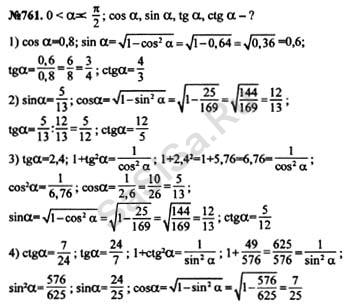
761
|
762
|
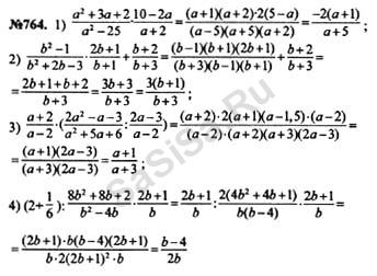
764
765
|
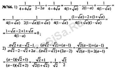
766
|
767
|
768
|
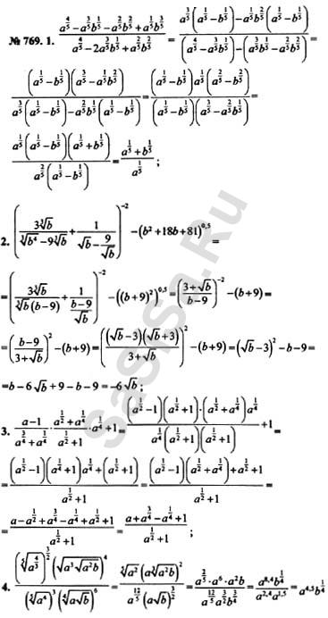
769
|
770
|
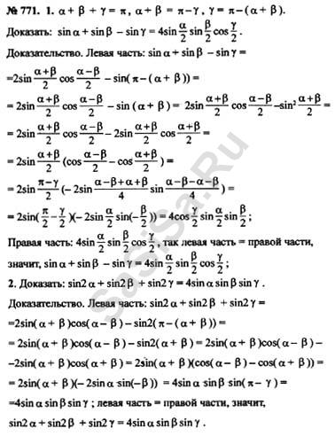
771
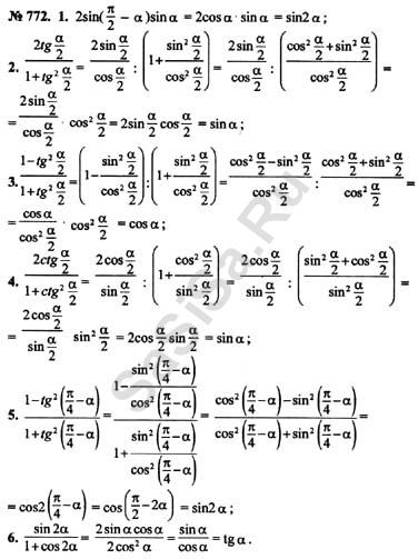
772
|
773
|
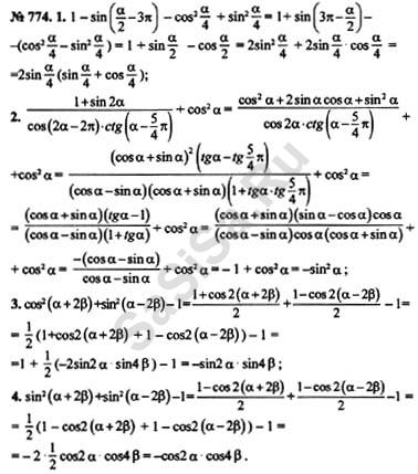
774
|
775
|
776
|
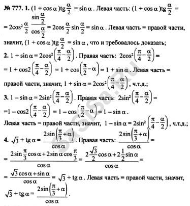
777
|
778
779
|
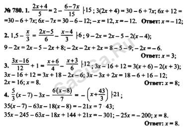
780
|
781
|
782
|
783
|
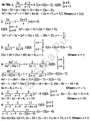
784
|
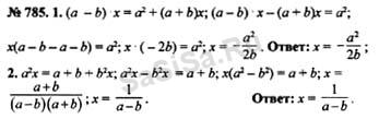
785
Далее »
« Назад
Страница:
1
,
2
,
3
...
10
,
11
,
12
,
13
,
14
Алгебра, 11 Класс
Школьный раздел
Сервисы
|
Главная
(c)
m.sasisa.cc