Войти на сайт
(
)
Алгебра и начала анализа 10-11 класс. Алимов Ш.А. (11 класс)
Номер задания
292
|
293
|
294
|
295
|
296
|
297
|
298
300
|
301
|
302
|
303
|
304
|
305
|
306
307
|
308
|
309
|
310
|
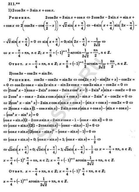
311
|
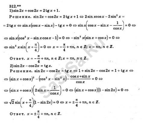
312
|
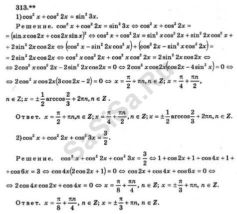
313
314
|
315
|
316
|
317
|
318
|
319
|
320
321
|
322
|
323
|
324
|
325
|
326
|
327
328
|
329
|
330
|
331
|
332
|
333
|
334
335
|
336
|
337
|
338
|
339
|
340
|
341
342
|
343
|
344
|
347
|
348
|
349
|
350
351
|
352
|
353
|
354
|
355
|
356
|
357
358
|
359
|
360
|
361
|
362
|
363
|
364
Далее »
« Назад
Страница:
1
,
2
,
3
,
4
,
5
,
6
...
12
,
13
,
14
Алгебра, 11 Класс
Школьный раздел
Сервисы
|
Главная
(c)
m.sasisa.cc