Войти на сайт
(
)
Алгебра и начала анализа 10-11 класс. Алимов Ш.А. (11 класс)
Номер задания
220
|
221
|
222
|
223
|
224
|
225
|
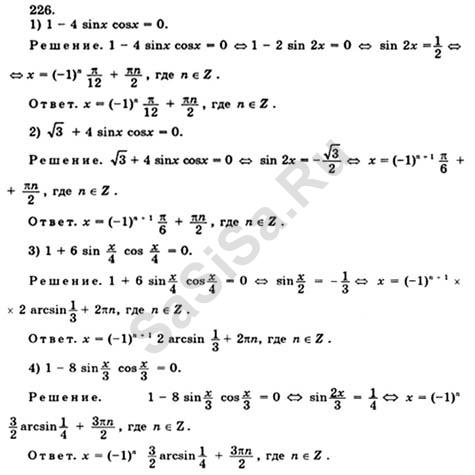
226
227
|
228
|
229
|
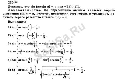
230
|
231
|
233
|
234
235
|
236
|
237
|
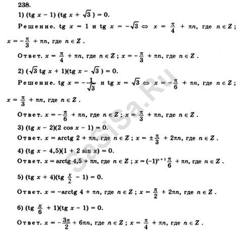
238
|
239
|
240
|
241
243
|
244
|
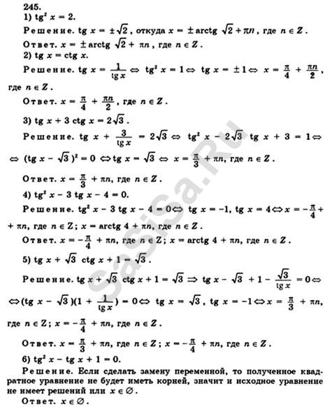
245
|
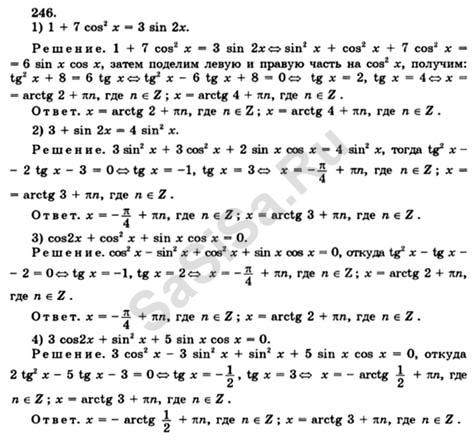
246
|
247
|
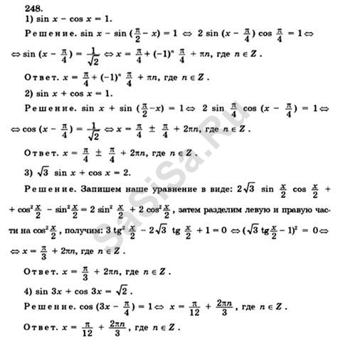
248
|
249
250
|
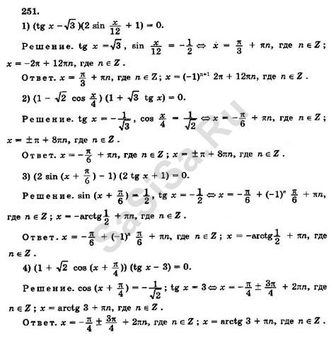
251
|
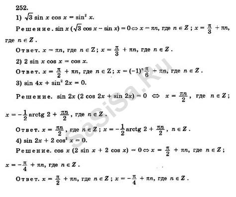
252
|
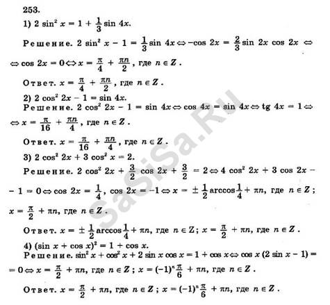
253
|
254
|
255
|
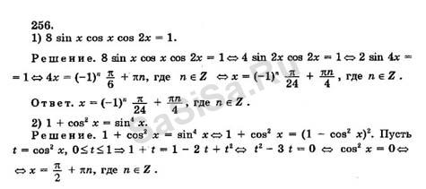
256
257
|
258
|
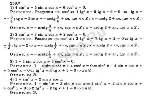
259
|
260
|
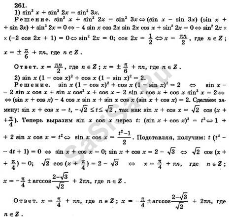
261
|
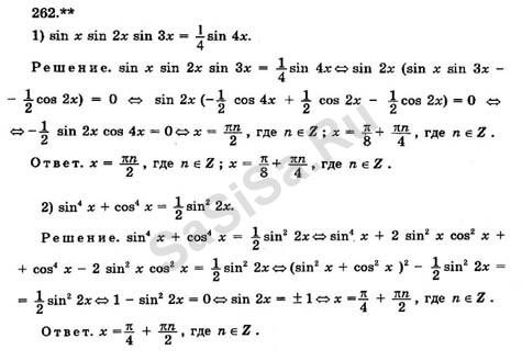
262
|
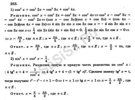
263
264
|
265
|
266
|
267
|
268
|
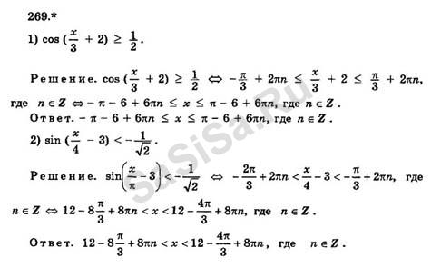
269
|
270
271
|
272
|
273
|
274
|
275
|
276
|
277
278
|
279
|
280
|
281
|
282
|
283
|
284
285
|
286
|
287
|
288
|
289
|
290
|
291
Далее »
« Назад
Страница:
1
,
2
,
3
,
4
,
5
...
12
,
13
,
14
Алгебра, 11 Класс
Школьный раздел
Сервисы
|
Главная
(c)
m.sasisa.cc