Войти на сайт
(
)
Сборник задач по Физике 7-9 класс. Лукашик В.И. (7 класс)
Номер задания
991
|
992
|
993
|
994
|
995
|
996
|
997
998
|
999
|
1000
|
1001
|
1002
|
1003
|
1004
1005
|
1006
|
1007
|
1008
|
1009
|
1010
|
1011
1012
|
1013
|
1014
|
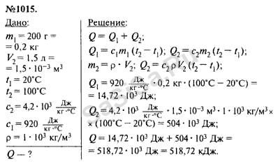
1015
|
1016
|
1017
|
1018
1019
|
1020
|
1021
|
1022
|
1023
|
1024
|
1025
1026
|
1027
|
1028
|
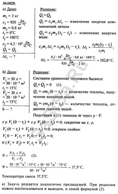
1029
|
1030
|
1031
|
1032
1033
|
1034
|
1035
|
1036
|
1037
|
1038
|
1039
1040
|
1041
|
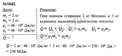
1042
|
1043
|
1044
|
1045
|
1046
1047
|
1048
|
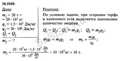
1049
|
1050
|
1051
|
1052
|
1053
1054
|
1055
|
1056
|
1057
|
1058
|
1059
|
1060
Далее »
« Назад
Страница:
1
,
2
,
3
...
14
,
15
,
16
...
18
,
19
,
20
Физика, 7 Класс
Школьный раздел
Сервисы
|
Главная
(c)
m.sasisa.cc