Войти на сайт
(
)
Сборник задач по Физике 7-9 класс. Лукашик В.И. (7 класс)
Номер задания
73
|
74
|
75
|
76
|
77
|
78
|
79
80
|
81
|
82
|
83
|
84
|
85
|
86
87
|
88
|
89
|
90
|
91
|
92
|
93
94
|
95
|
96
|
97
|
98
|
99
|
100
101
|
102
|
103
|
104
|
105
|
106
|
107
108
|
109
|
110
|
111
|
112
|
113
|
114
115
|
116
|
117
|
118
|
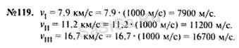
119
|
120
|
121
122
|
123
|
124
|
125
|
126
|
127
|
128
129
|
130
|
131
|
132
|
133
|
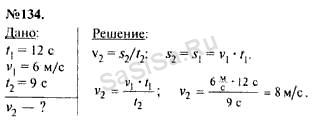
134
|
135
136
|
137
|
138
|
139
|
140
|
141
|
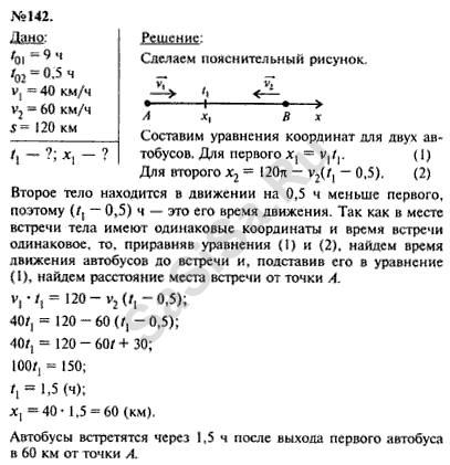
142
Далее »
« Назад
Страница:
1
,
2
,
3
, ...
18
,
19
,
20
Физика, 7 Класс
Школьный раздел
Сервисы
|
Главная
(c)
m.sasisa.cc