Войти на сайт
(
)
Сборник задач по Физике 7-9 класс. Лукашик В.И. (7 класс)
Номер задания
501
|
502
|
503
|
504
|
505
|
506
|
507
508
|
509
|
510
|
511
|
512
|
513
|
514
515
|
516
|
517
|
518
|
519
|
520
|
521
522
|
523
|
524
|
525
|
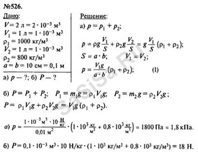
526
|
527
|
528
529
|
530
|
531
|
532
|
533
|
534
|
535
536
|
537
|
538
|
539
|
540
|
541
|
542
543
|
544
|
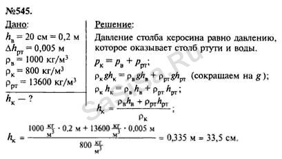
545
|
546
|
547
|
548
|
549
550
|
551
|
552
|
553
|
554
|
555
|
556
557
|
558
|
559
|
560
|
561
|
562
|
563
564
|
565
|
566
|
567
|
568
|
569
|
570
Далее »
« Назад
Страница:
1
,
2
,
3
...
7
,
8
,
9
...
18
,
19
,
20
Физика, 7 Класс
Школьный раздел
Сервисы
|
Главная
(c)
m.sasisa.cc