Войти на сайт ( )
Физика 7 класс. Перышкин А.В. 2002 год (7 класс)
Страница: 52
№ задания
1 | 2 | 3 | 4 |
1 (Упражнение)
2 (Упражнение)
3 (Упражнение)
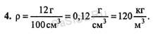
4 (Упражнение)
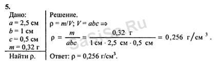
5 (Упражнение)
Физика, 7 Класс
Школьный раздел
Сервисы | Главная
(c) m.sasisa.cc