Войти на сайт
(
)
Сборник задач по физике для 10-11 классов. Степанова Г.Н. (10 класс)
Номер задания
426
|
427
|
428
|
429
|
430
|
431
|
432
433
|
434
|
435
|
436
|
437
|
438
|
439
440
|
441
|
442
|
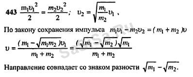
443
|
444
|
445
|
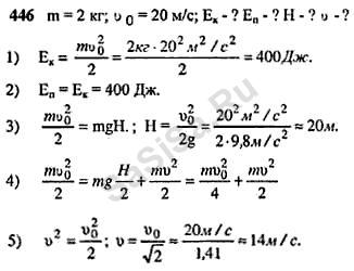
446
447
|
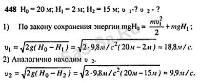
448
|
449
|
450
|
451
|
452
|
453
454
|
455
|
456
|
457
|
458
|
459
|
460
461
|
462
|
463
|
464
|
465
|
466
|
467
468
|
469
|
470
|
471
|
472
|
473
|
474
475
|
476
|
477
|
478
|
479
|
480
|
481
482
|
483
|
484
|
485
|
486
|
487
|
488
489
|
490
|
491
|
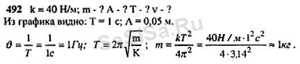
492
|
493
|
494
|
495
Далее »
« Назад
Страница:
1
,
2
,
3
...
6
,
7
,
8
...
24
,
25
,
26
Физика, 10 Класс
Школьный раздел
Сервисы
|
Главная
(c)
m.sasisa.cc