Войти на сайт
(
)
Сборник задач по физике для 10-11 классов. Степанова Г.Н. (10 класс)
Номер задания
356
|
357
|
358
|
359
|
360
|
361
|
362
363
|
364
|
365
|
366
|
367
|
368
|
369
370
|
371
|
372
|
373
|
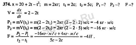
374
|
375
|
376
377
|
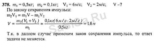
378
|
379
|
380
|
381
|
382
|
383
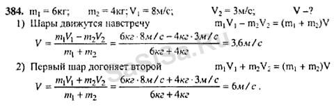
384
|
385
|
386
|
387
|
388
|
389
|
390
391
|
392
|
393
|
394
|
395
|
396
|
397
398
|
399
|
400
|
401
|
402
|
403
|
404
405
|
406
|
407
|
408
|
409
|
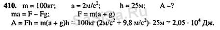
410
|
411
412
|
413
|
414
|
415
|
416
|
417
|
418
419
|
420
|
421
|
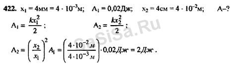
422
|
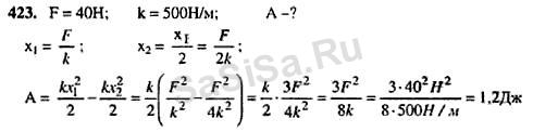
423
|
424
|
425
Далее »
« Назад
Страница:
1
,
2
,
3
...
5
,
6
,
7
...
24
,
25
,
26
Физика, 10 Класс
Школьный раздел
Сервисы
|
Главная
(c)
m.sasisa.cc