Войти на сайт
(
)
Сборник задач по физике для 10-11 классов. Степанова Г.Н. (10 класс)
Номер задания
285
|
286
|
287
|
288
|
289
|
290
|
291
292
|
293
|
294
|
295
|
296
|
297
|
298
299
|
300
|
301
|
302
|
303
|
304
|
305
306
|
307
|
308
|
309
|
310
|
311
|
312
313
|
314
|
315
|
316
|
317
|
318
|
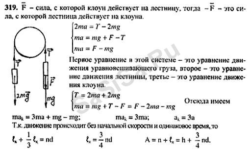
319
320
|
321
|
322
|
323
|
324
|
325
|
326
327
|
328
|
329
|
330
|
331
|
332
|
333
334
|
335
|
336
|
337
|
338
|
339
|
340
341
|
342
|
343
|
344
|
346
|
347
|
348
349
|
350
|
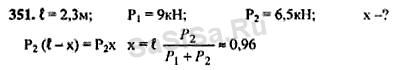
351
|
352
|
353
|
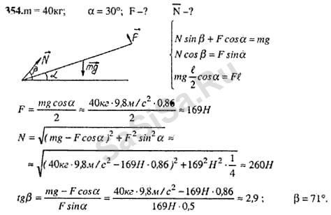
354
|
355
Далее »
« Назад
Страница:
1
,
2
,
3
,
4
,
5
,
6
...
24
,
25
,
26
Физика, 10 Класс
Школьный раздел
Сервисы
|
Главная
(c)
m.sasisa.cc