Войти на сайт
(
)
Сборник задач по физике для 10-11 классов. Степанова Г.Н. (10 класс)
Номер задания
1630
|
1631
|
1632
|
1633
|
1634
|
1635
|
1636
1637
|
1638
|
1639
|
1640
|
1641
|
1642
|
1643
1644
|
1645
|
1646
|
1647
|
1648
|
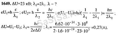
1649
|
1650
1651
|
1652
|
1653
|
1654
|
1655
|
1656
|
1657
1658
|
1659
|
1660
|
1661
|
1662
|
1663
|
1664
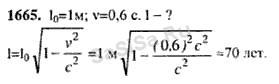
1665
|
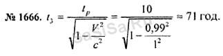
1666
|
1667
|
1668
|
1669
|
1670
|
1671
1672
|
1673
|
1674
|
1675
|
1676
|
1677
|
1678
1679
|
1680
|
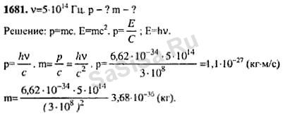
1681
|
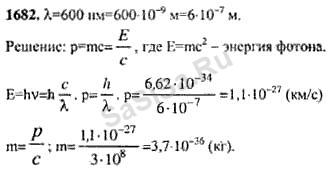
1682
|
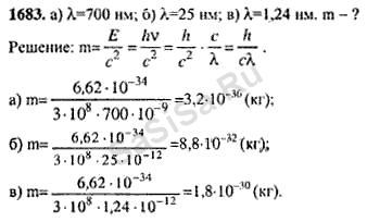
1683
|
1684
|
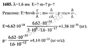
1685
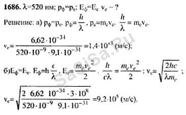
1686
|
1687
|
1688
|
1689
|
1690
|
1691
|
1692
1693
|
1694
|
1695
|
1696
|
1697
|
1698
|
1699
Далее »
« Назад
Страница:
1
,
2
,
3
...
23
,
24
,
25
,
26
Физика, 10 Класс
Школьный раздел
Сервисы
|
Главная
(c)
m.sasisa.cc