Войти на сайт ( )
Физика 10 класс. В.А. Касьянов (10 класс)
№ параграфа: 73
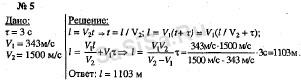
Номер задачи
1 | 2 | 3 | 4 | 5 |
Физика, 10 Класс
Школьный раздел
Сервисы | Главная
(c) m.sasisa.cc