Войти на сайт ( )
Физика 10 класс. Мякишев Г.Я. (10 класс)
Страница: 44
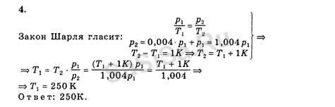
№ задания
3 | 4 | 5 | 6 | 7 | 8 | 9
10 | 11 | 12 | 13 |
Физика, 10 Класс
Школьный раздел
Сервисы | Главная
(c) m.sasisa.cc