Войти на сайт
(
)
Геометрия 10-11 класс. Атанасян Л.С. (10 класс)
Номер задания
632
|
633
|
634
|
635
|
636
|
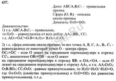
637
|
638
639
|
640
|
641
|
642
|
643
|
644
|
645
646
|
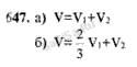
647
|
648
|
649
|
650
|
651
|
652
653
|
654
|
655
|
656
|
657
|
658
|
659
660
|
661
|
662
|
663
|
664
|
665
|
666
667
|
668
|
669
|
670
|
671
|
672
|
673
674
|
675
|
676
|
677
|
678
|
679
|
680
681
|
682
|
683
|
684
|
685
|
686
|
687
688
|
689
|
690
|
691
|
692
|
693
|
694
695
|
696
|
697
|
698
|
699
|
700
|
701
Далее »
« Назад
Страница:
1
,
2
,
3
,
4
,
5
,
6
,
7
,
8
,
9
Геометрия, 10 Класс
Школьный раздел
Сервисы
|
Главная
(c)
m.sasisa.cc