Войти на сайт
(
)
Геометрия 10-11 класс. Атанасян Л.С. (10 класс)
Номер задания
305
|
400
|
401
|
402
|
403
|
404
|
405
407
|
408
|
409
|
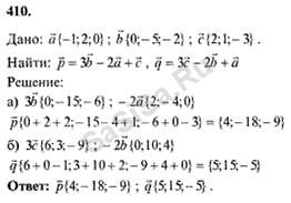
410
|
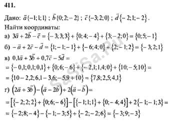
411
|
412
|
413
414
|
415
|
416
|
417
|
418
|
419
|
420
421
|
422
|
423
|
424
|
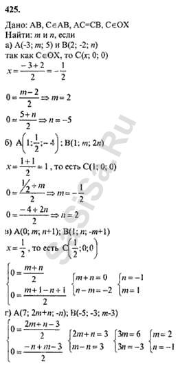
425
|
426
|
427
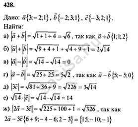
428
|
429
|
430
|
431
|
432
|
433
|
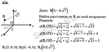
434
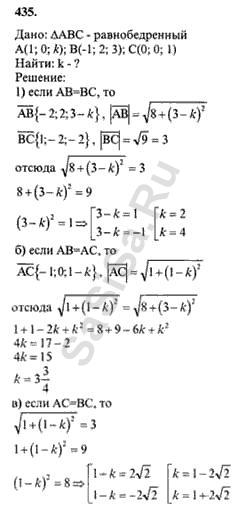
435
|
436
|
437
|
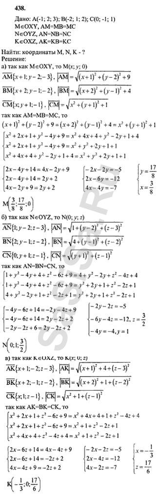
438
|
439
|
440
|
441
442
|
443
|
444
|
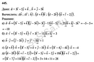
445
|
446
|
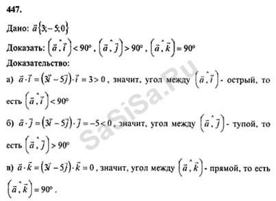
447
|
448
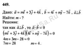
449
|
450
|
451
|
452
|
453
|
454
|
455
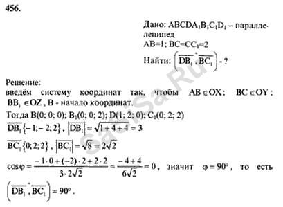
456
|
457
|
458
|
459
|
460
|
461
|
462
463
|
464
|
465
|
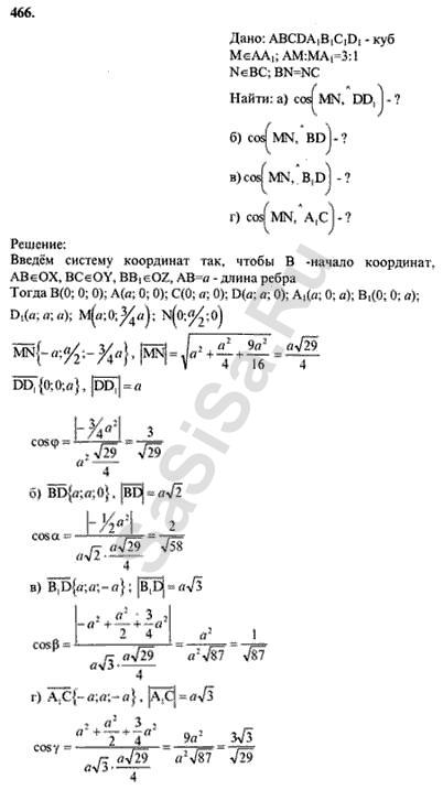
466
|
467
|
468
|
469
Далее »
« Назад
Страница:
1
,
2
,
3
,
4
,
5
,
6
,
7
,
8
,
9
Геометрия, 10 Класс
Школьный раздел
Сервисы
|
Главная
(c)
m.sasisa.cc