Войти на сайт ( )
Геометрия 7-11 класс. Погорелов А.В. (10 класс)
Страница: 200
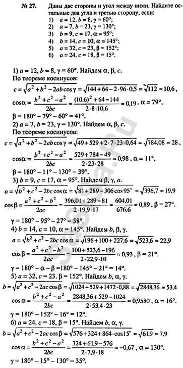
Номер задания
24 | 25 | 26 | 27 | 28 | 29 |
Геометрия, 10 Класс
Школьный раздел
Сервисы | Главная
(c) m.sasisa.cc