Войти на сайт ( )
Дидактические материалы по алгебре и началам анализа для 10 класса. Ивлев Б.М., Саакян С.М. (10 класс)
№ Работы: 1
№ Варианта
1 (Самост. работа)
2 (Самост. работа)
3 (Самост. работа)
4 (Самост. работа)
5 (Самост. работа)
6 (Самост. работа)
7 (Самост. работа)
8 (Самост. работа)
9 (Самост. работа)
10 (Самост. работа)
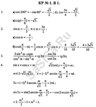
1 (Контр. работа)
2 (Контр. работа)
3 (Контр. работа)
4 (Контр. работа)
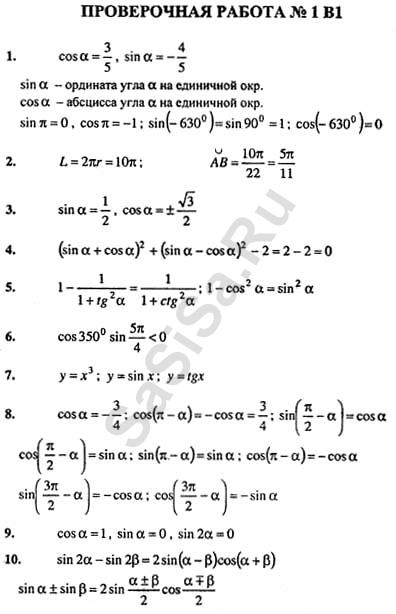
1 (Провер. работа)
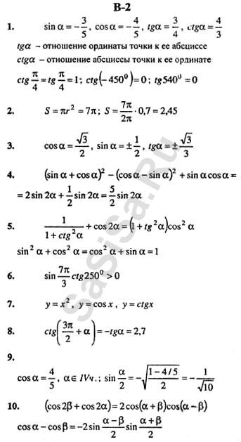
2 (Провер. работа)
1 (Зачет)
2 (Зачет)
4 (Зачет)
5 (Зачет)
6 (Зачет)
Алгебра, 10 Класс
Школьный раздел
Сервисы | Главная
(c) m.sasisa.cc