Войти на сайт ( )
Дидактические материалы по алгебре и началам анализа для 10 класса. Ивлев Б.М., Саакян С.М. (10 класс)
№ Работы: 0
№ Варианта
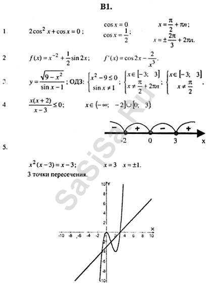
1 (Повторение)
2 (Повторение)
3 (Повторение)
4 (Повторение)
5 (Повторение)
6 (Повторение)
7 (Повторение)
8 (Повторение)
Алгебра, 10 Класс
Школьный раздел
Сервисы | Главная
(c) m.sasisa.cc