Войти на сайт
(
)
Алгебра и начала анализа. Задачник для 10-11 классов. Мордкович А.Г. (10 класс)
Номер задания
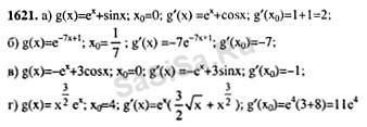
1621
|
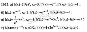
1622
|
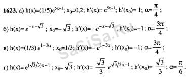
1623
|
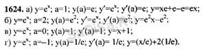
1624
|
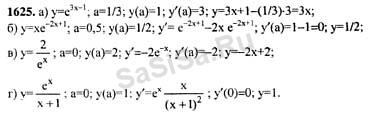
1625
|
1626
|
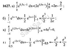
1627
1628
|
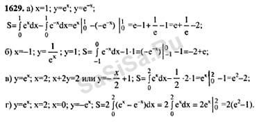
1629
|
1630
|
1631
|
1632
|
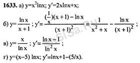
1633
|
1634
1635
|
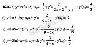
1636
|
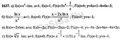
1637
|
1638
|
1639
|
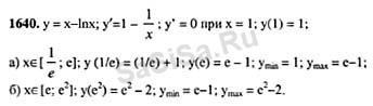
1640
|
1641
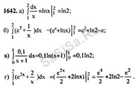
1642
|
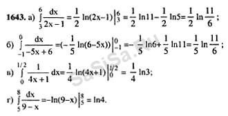
1643
|
1644
|
1645
|
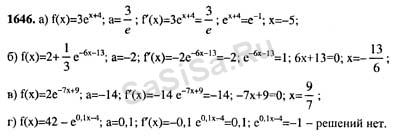
1646
|
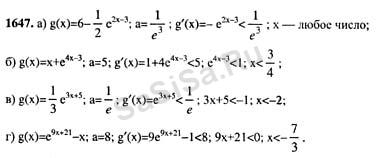
1647
|
1648
1649
|
1650
|
1651
|
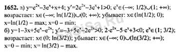
1652
|
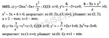
1653
|
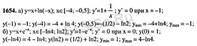
1654
|
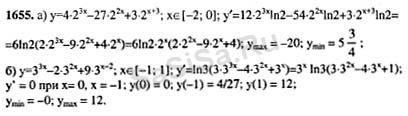
1655
1656
|
1657
|
1658
|
1659
|
1660
|
1661
|
1662
1663
|
1664
|
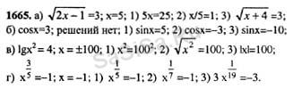
1665
|
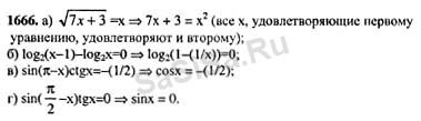
1666
|
1667
|
1668
|
1669
1670
|
1671
|
1672
|
1673
|
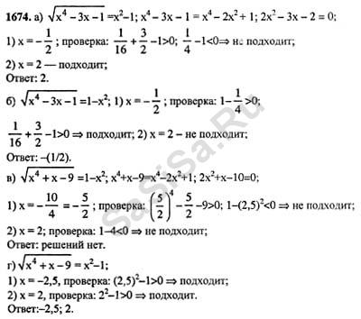
1674
|
1675
|
1676
1677
|
1678
|
1679
|
1680
|
1681
|
1682
|
1683
1684
|
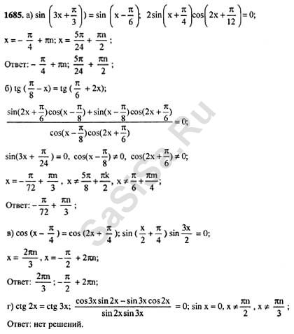
1685
|
1686
|
1687
|
1688
|
1689
|
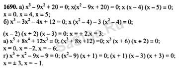
1690
Далее »
« Назад
Страница:
1
,
2
,
3
...
23
,
24
,
25
,
26
,
27
Алгебра, 10 Класс
Школьный раздел
Сервисы
|
Главная
(c)
m.sasisa.cc