Войти на сайт
(
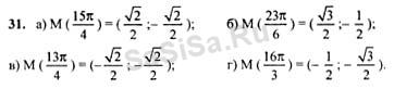
)
Алгебра и начала анализа. Задачник для 10-11 классов. Мордкович А.Г. (10 класс)
Номер задания
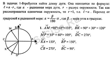
1
|
2
|
3
|
4
|
5
|
6
|
7
8
|
9
|
10
|
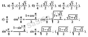
11
|
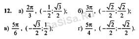
12
|
13
|
14
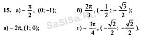
15
|
16
|
17
|
18
|
19
|
20
|
21
22
|
23
|
24
|
25
|
26
|
27
|
28
29
|
30
|
31
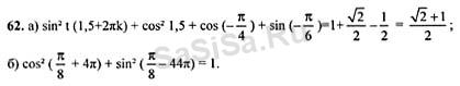
|
32
|
33
|
34
|
35
36
|
37
|
38
|
39
|
40
|
41
|
42
43
|
44
|
45
|
46
|
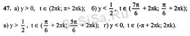
47
|
48
|
49
50
|
51
|
52
|
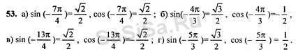
53
|
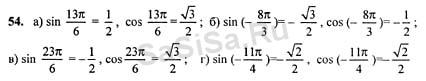
54
|
55
|
56
57
|
58
|
59
|
60
|
61
|
62
|
63
64
|
65
|
66
|
67
|
68
|
69
|
70
Далее »
Страница:
1
,
2
,
3
...
25
,
26
,
27
Алгебра, 10 Класс
Школьный раздел
Сервисы
|
Главная
(c)
m.sasisa.cc