Войти на сайт ( )
Алгебра и начала анализа 10-11 класс. Колмогоров А.Н. (10 класс)
Нумерация упражнений в учебнике с 1 по 380 - 10 класс, с 381 по 577 - 11 класс. После каждой главы и в конце учебника есть вопросы и задачи на повторение ответы на них даны в конце списка.
145 | 146 | 147 | 148 | 149 | 150 | 151
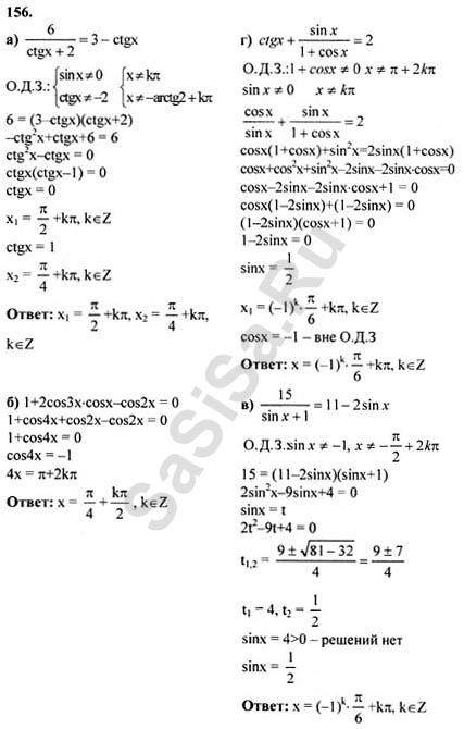
152 | 153 | 154 | 155 | 156 | 157 | 158
159 | 160 | 161 | 162 | 163 | 164 | 165
166 | 167 | 168 | 169 | 170 | 171 | 172
173 | 174 | 175 | 176 | 177 | 178 | 179
180 | 181 | 182 | 183 | 184 | 185 | 186
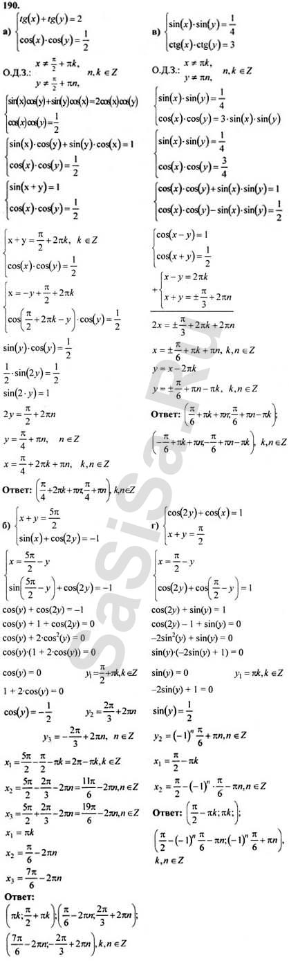
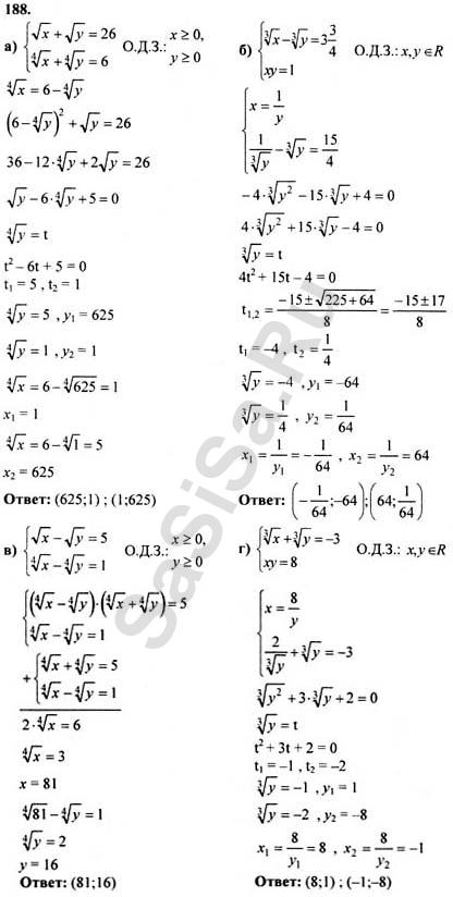
187 | 188 | 189 | 190 | 191 | 192 | 193
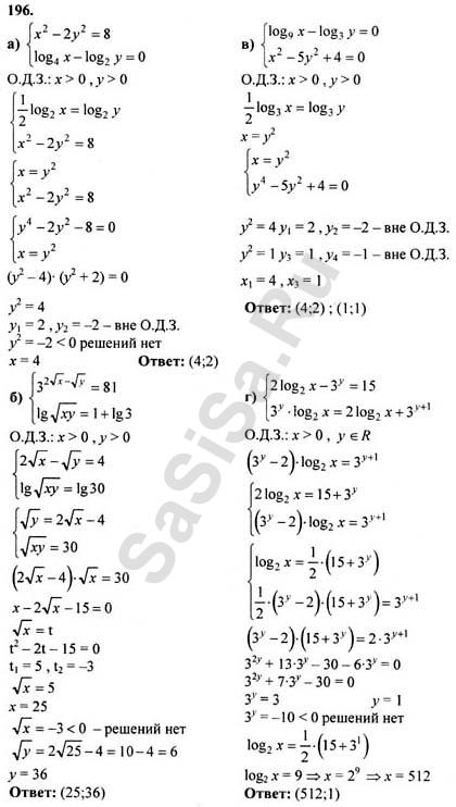
194 | 195 | 196 | 197 | 198 | 199 | 200
201 | 202 | 203 | 204 | 205 | 206 | 207
208 | 209 | 210 | 211 | 212 | 213 | 214

Далее »
« Назад
Страница: 1, 2, 3 ... , 11, 12, 13
Алгебра, 10 Класс
Школьный раздел
Сервисы | Главная
(c) m.sasisa.cc