Войти на сайт ( )
Алгебра и начала анализа 10-11 класс. Колмогоров А.Н. (10 класс)
Нумерация упражнений в учебнике с 1 по 380 - 10 класс, с 381 по 577 - 11 класс. После каждой главы и в конце учебника есть вопросы и задачи на повторение ответы на них даны в конце списка.
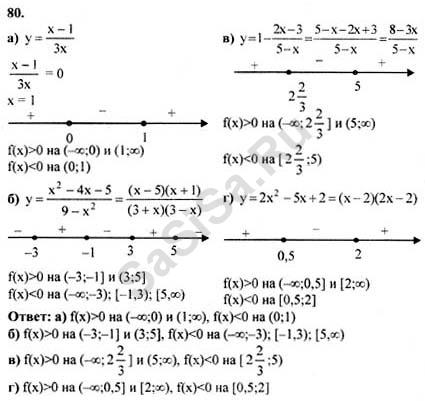
74 | 76 | 77 | 78 | 79 | 80 | 81
82 | 83 | 84 | 85 | 86 | 87 | 88
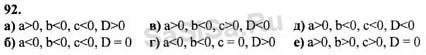
89 | 90 | 91 | 92 | 93 | 94 | 95
96 | 97 | 98 | 99 | 100 | 101 | 102
103 | 104 | 105 | 106 | 107 | 108 | 109
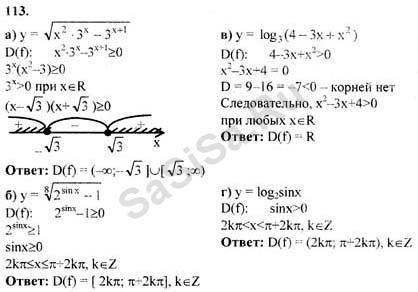
110 | 111 | 112 | 113 | 114 | 115 | 116
117 | 118 | 119 | 120 | 121 | 122 | 123
124 | 125 | 126 | 127 | 128 | 129 | 130
131 | 132 | 133 | 134 | 135 | 136 | 137
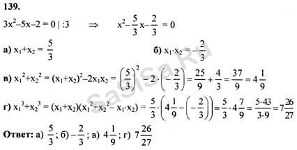
138 | 139 | 140 | 141 | 142 | 143 | 144

Далее »
« Назад
Страница: 1, 2, 3 ... 10, 11, 12, 13
Алгебра, 10 Класс
Школьный раздел
Сервисы | Главная
(c) m.sasisa.cc