Войти на сайт ( )
Алгебра и начала анализа 10-11 класс. Колмогоров А.Н. (10 класс)
Нумерация упражнений в учебнике с 1 по 380 - 10 класс, с 381 по 577 - 11 класс. После каждой главы и в конце учебника есть вопросы и задачи на повторение ответы на них даны в конце списка.
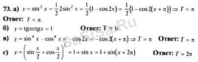
72 | 73 | 74 | 75 | 76 | 77 | 78
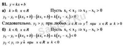
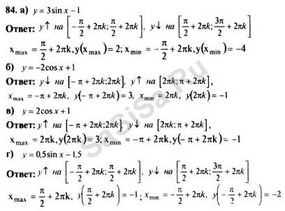
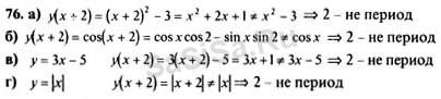
79 | 80 | 81 | 82 | 83 | 84 | 85
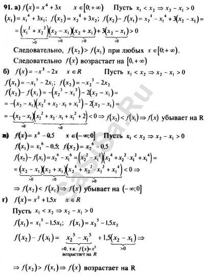
86 | 87 | 88 | 89 | 90 | 91 | 92
93 | 94 | 95 | 96 | 97 | 98 | 99
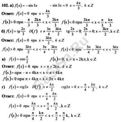
100 | 101 | 102 | 103 | 104 | 105 | 106
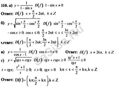
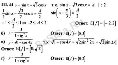
107 | 108 | 109 | 110 | 111 | 112 | 113
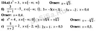
114 | 115 | 116 | 117 | 118 | 119 | 120
121 | 122 | 123 | 124 | 125 | 126 | 127
128 | 129 | 130 | 131 | 132 | 133 | 134
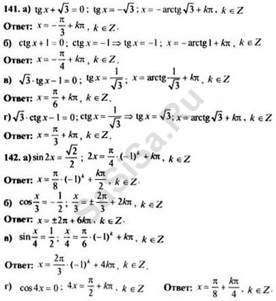
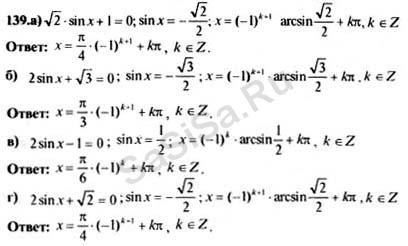
135 | 136 | 137 | 138 | 139 | 140 | 141

Далее »
« Назад
Страница: 1, 2, 3, ... 11, 12, 13
Алгебра, 10 Класс
Школьный раздел
Сервисы | Главная
(c) m.sasisa.cc