Войти на сайт ( )
Алгебра и начала анализа 10-11 класс. Колмогоров А.Н. (10 класс)
Нумерация упражнений в учебнике с 1 по 380 - 10 класс, с 381 по 577 - 11 класс. После каждой главы и в конце учебника есть вопросы и задачи на повторение ответы на них даны в конце списка.
4 | 5 | 6 | 7 | 8 | 9 | 10
11 | 12 | 13 | 14 | 15 | 16 | 17
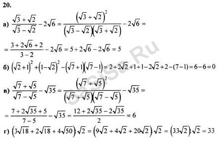
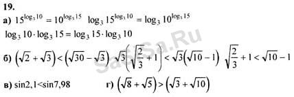
18 | 19 | 20 | 21 | 22 | 23 | 24
25 | 26 | 27 | 28 | 29 | 30 | 31
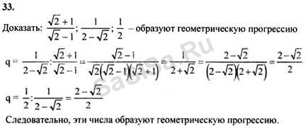
32 | 33 | 34 | 35 | 36 | 37 | 38
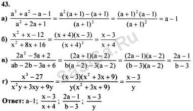
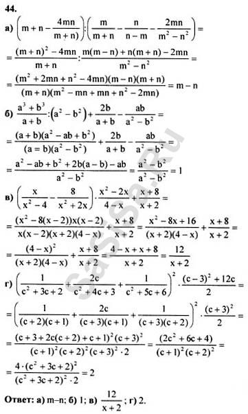
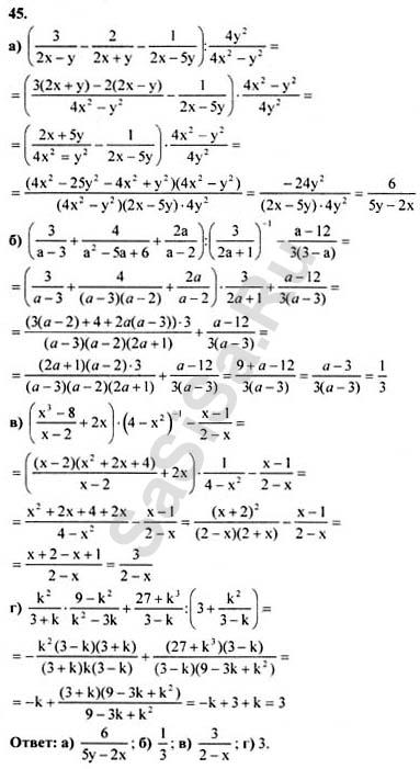
39 | 40 | 41 | 42 | 43 | 44 | 45
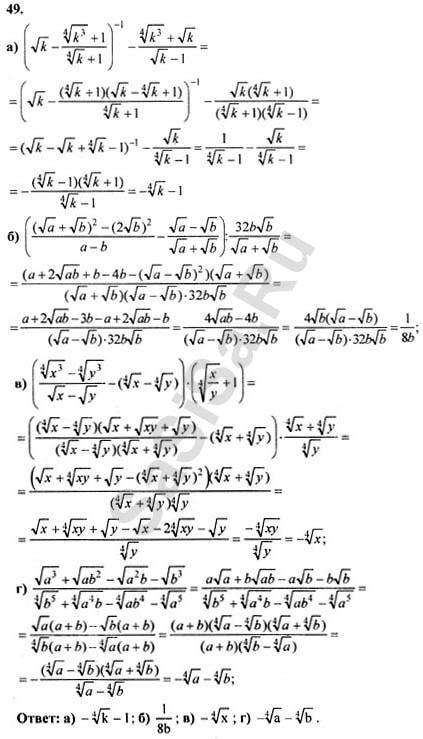
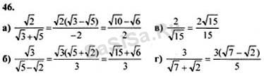
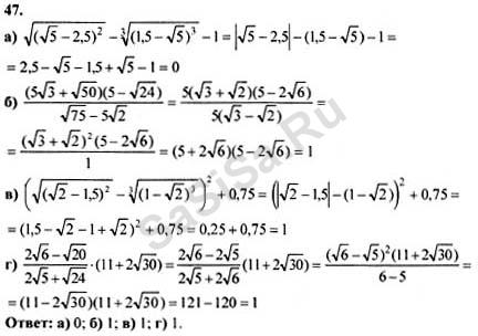
46 | 47 | 48 | 49 | 50 | 51 | 52
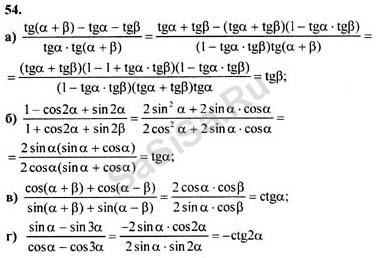
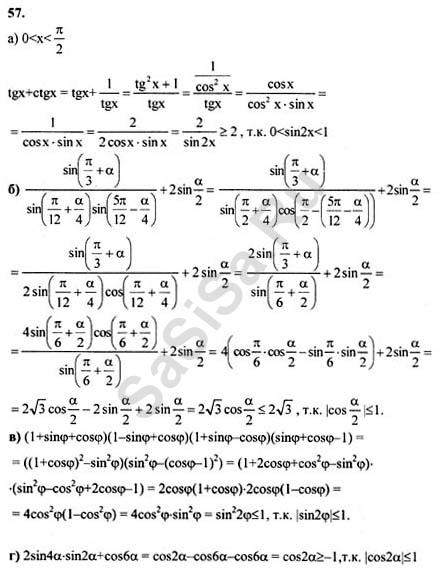
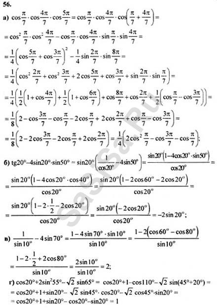
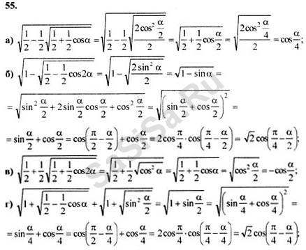
53 | 54 | 55 | 56 | 57 | 58 | 59
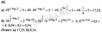
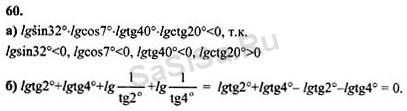
60 | 61 | 62 | 63 | 64 | 65 | 66
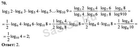
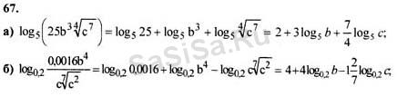
67 | 68 | 69 | 70 | 71 | 72 | 73

Далее »
« Назад
Страница: 1, 2, 3 ... 9, 10, 11, 12, 13
Алгебра, 10 Класс
Школьный раздел
Сервисы | Главная
(c) m.sasisa.cc