Войти на сайт ( )
Алгебра и начала анализа 10-11 класс. Колмогоров А.Н. (10 класс)
Нумерация упражнений в учебнике с 1 по 380 - 10 класс, с 381 по 577 - 11 класс. После каждой главы и в конце учебника есть вопросы и задачи на повторение ответы на них даны в конце списка.
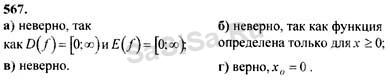
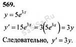
565 | 566 | 567 | 568 | 569 | 570 | 571
572 | 573 | 575 | 576 | 577 | 1 | 2
3 | 4 | 5 | 6 | 7 | 8 | 9
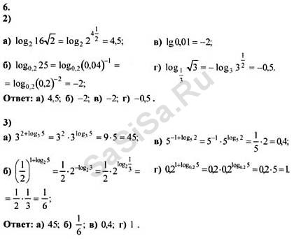
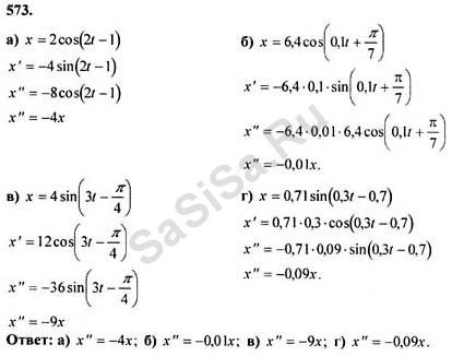
10 | 11 | 12 | 13 | 14 | 15 | 16
17 | 18 | 19 | 20 | 21 | 22 | 23
24 | 25 | 1 | 2 | 3 | 4 | 5
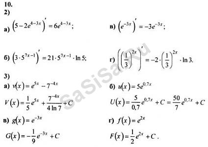
6 | 7 | 8 | 9 | 10 | 11 | 1
2 | 3 | 4 | 5 | 1 | 2 | 3
4 | 5 | 6 | 7 | 8 | 9 | 10
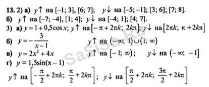
11 | 12 | 13 | 14 | 1 | 2 | 3

Далее »
« Назад
Страница: 1, 2, 3 ... 8, 9, 10, 11, 12, 13
Алгебра, 10 Класс
Школьный раздел
Сервисы | Главная
(c) m.sasisa.cc