Войти на сайт ( )
Алгебра и начала анализа 10-11 класс. Колмогоров А.Н. (10 класс)
Нумерация упражнений в учебнике с 1 по 380 - 10 класс, с 381 по 577 - 11 класс. После каждой главы и в конце учебника есть вопросы и задачи на повторение ответы на них даны в конце списка.
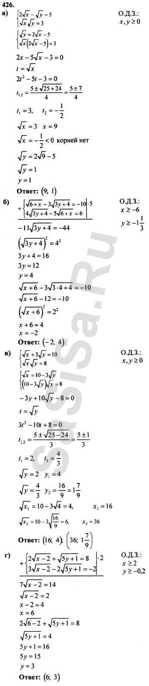
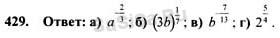
424 | 425 | 426 | 427 | 428 | 429 | 430
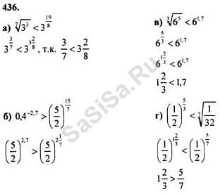
431 | 432 | 433 | 434 | 435 | 436 | 437
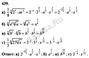
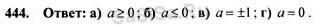
438 | 439 | 440 | 441 | 442 | 443 | 444
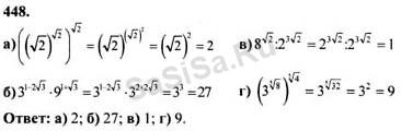
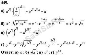
445 | 446 | 447 | 448 | 449 | 450 | 451
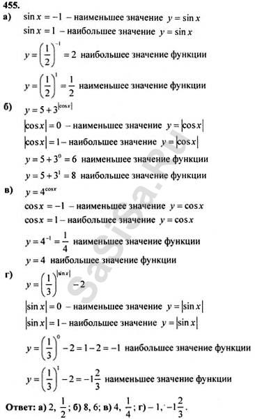
452 | 453 | 454 | 455 | 456 | 457 | 458
459 | 460 | 461 | 462 | 463 | 464 | 465
466 | 467 | 468 | 469 | 470 | 471 | 472
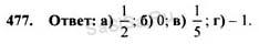
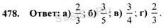
473 | 474 | 475 | 476 | 477 | 478 | 479
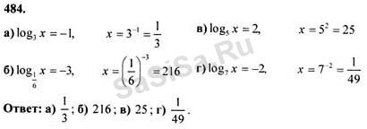
480 | 481 | 482 | 483 | 484 | 485 | 486
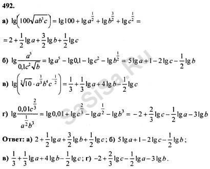
487 | 488 | 489 | 490 | 491 | 492 | 493

Далее »
« Назад
Страница: 1, 2, 3 ... 6, 7, 8 ... 11, 12, 13
Алгебра, 10 Класс
Школьный раздел
Сервисы | Главная
(c) m.sasisa.cc