Войти на сайт ( )
Алгебра и начала анализа 10-11 класс. Колмогоров А.Н. (10 класс)
Нумерация упражнений в учебнике с 1 по 380 - 10 класс, с 381 по 577 - 11 класс. После каждой главы и в конце учебника есть вопросы и задачи на повторение ответы на них даны в конце списка.
354 | 355 | 356 | 357 | 358 | 359 | 360
361 | 362 | 363 | 364 | 365 | 366 | 367
368 | 369 | 370 | 371 | 372 | 373 | 374
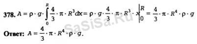
375 | 376 | 377 | 378 | 379 | 380 | 381
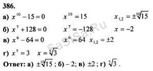
382 | 383 | 384 | 385 | 386 | 387 | 388
389 | 390 | 391 | 392 | 393 | 394 | 395
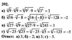
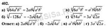
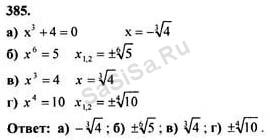
396 | 397 | 398 | 399 | 400 | 401 | 402
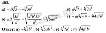
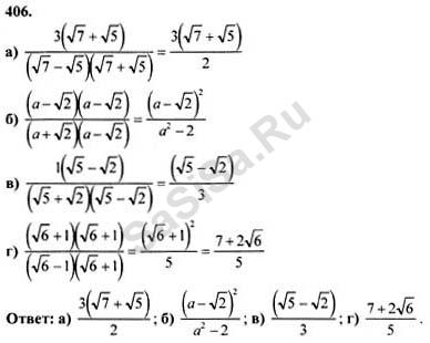
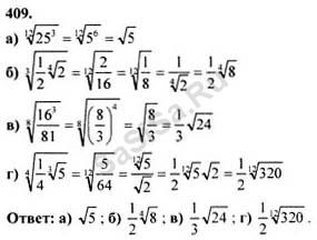
403 | 404 | 405 | 406 | 407 | 408 | 409
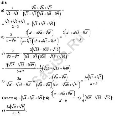
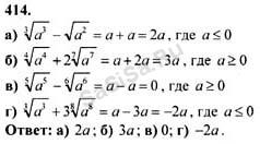
410 | 411 | 412 | 413 | 414 | 415 | 416
417 | 418 | 419 | 420 | 421 | 422 | 423

Далее »
« Назад
Страница: 1, 2, 3 ... 5, 6, 7 ... 11, 12, 13
Алгебра, 10 Класс
Школьный раздел
Сервисы | Главная
(c) m.sasisa.cc