Войти на сайт ( )
Алгебра и начала анализа 10-11 класс. Колмогоров А.Н. (10 класс)
Нумерация упражнений в учебнике с 1 по 380 - 10 класс, с 381 по 577 - 11 класс. После каждой главы и в конце учебника есть вопросы и задачи на повторение ответы на них даны в конце списка.
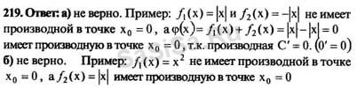
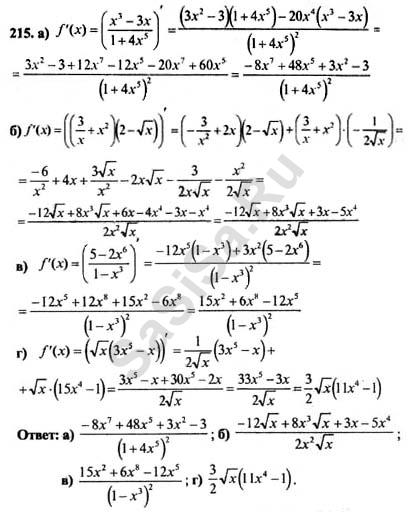
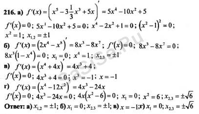
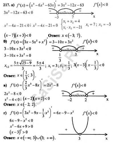
214 | 215 | 216 | 217 | 218 | 219 | 220
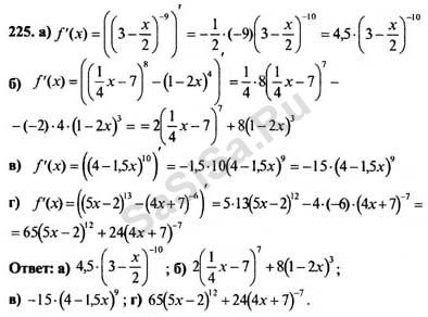
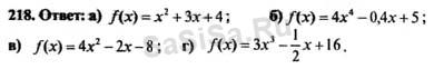
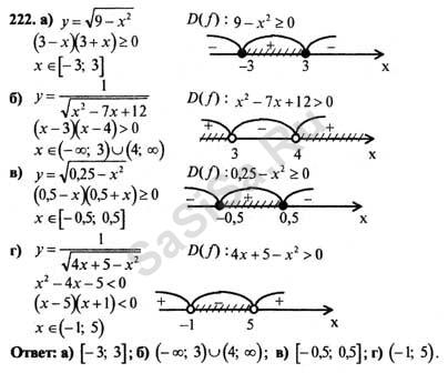
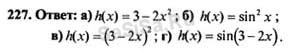
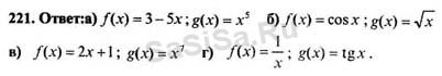
221 | 222 | 223 | 224 | 225 | 226 | 227
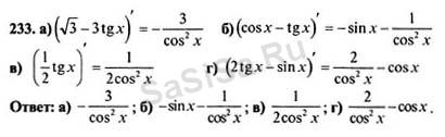
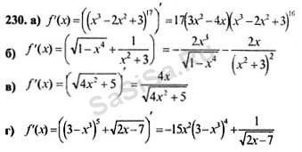
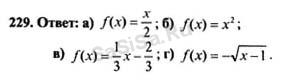
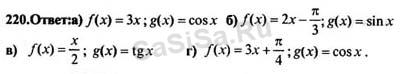
228 | 229 | 230 | 231 | 232 | 233 | 234
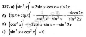
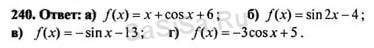
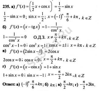
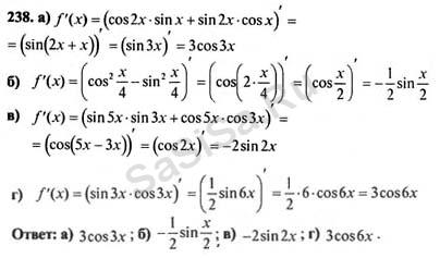
235 | 236 | 237 | 238 | 239 | 240 | 241
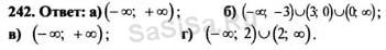
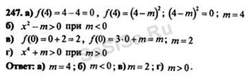
242 | 243 | 244 | 245 | 246 | 247 | 248
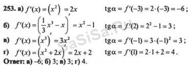
249 | 250 | 251 | 252 | 253 | 254 | 255
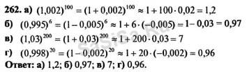
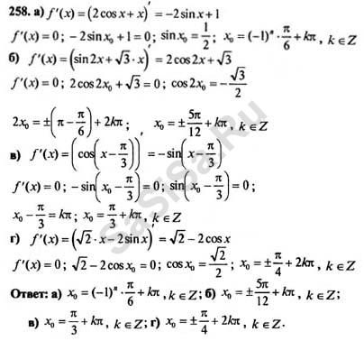
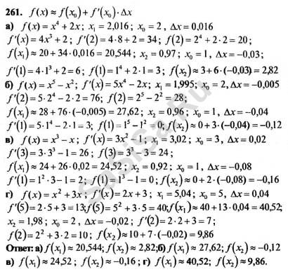
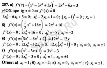
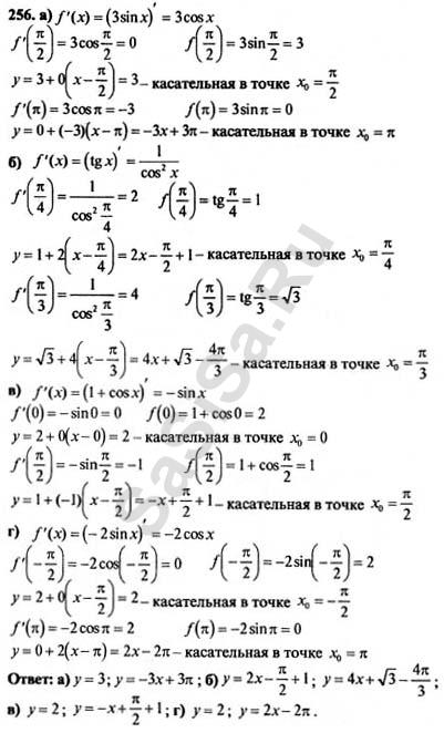
256 | 257 | 258 | 259 | 260 | 261 | 262
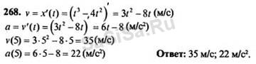
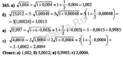
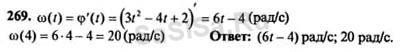
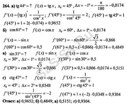
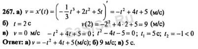
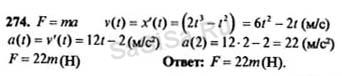
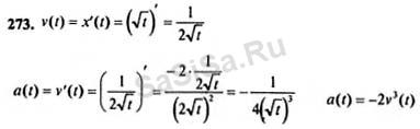
263 | 264 | 265 | 266 | 267 | 268 | 269
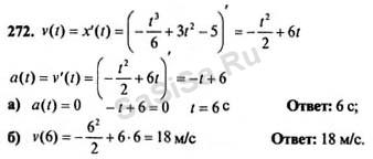
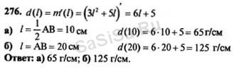
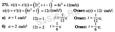
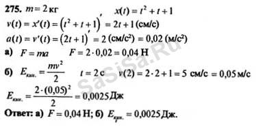
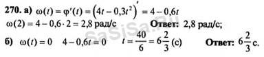
270 | 271 | 272 | 273 | 274 | 275 | 276
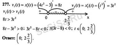
277 | 278 | 279 | 280 | 281 | 282 | 283

Далее »
« Назад
Страница: 1, 2, 3, 4, 5 ... 11, 12, 13
Алгебра, 10 Класс
Школьный раздел
Сервисы | Главная
(c) m.sasisa.cc