Войти на сайт ( )
Алгебра и начала анализа 10-11 класс. Колмогоров А.Н. (10 класс)
Нумерация упражнений в учебнике с 1 по 380 - 10 класс, с 381 по 577 - 11 класс. После каждой главы и в конце учебника есть вопросы и задачи на повторение ответы на них даны в конце списка.
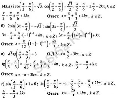
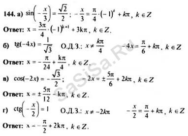
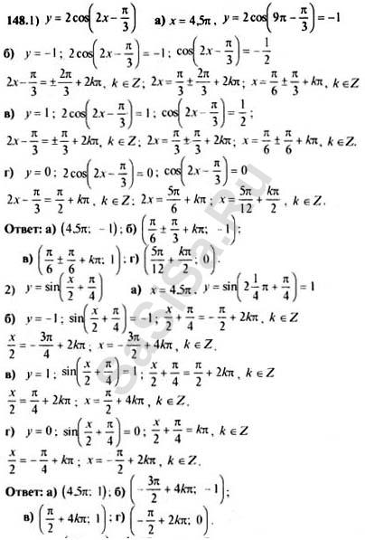
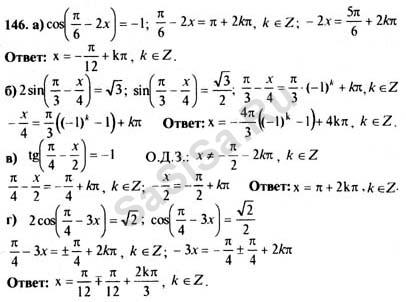
143 | 144 | 145 | 146 | 147 | 148 | 149
150 | 151 | 152 | 153 | 154 | 155 | 156
157 | 158 | 159 | 160 | 161 | 162 | 163
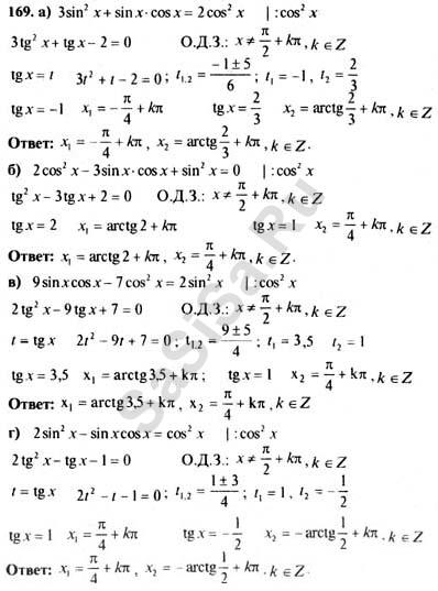
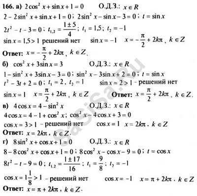
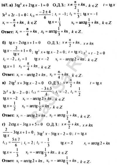
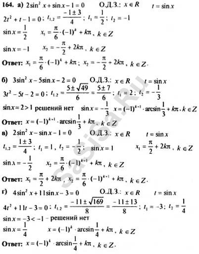
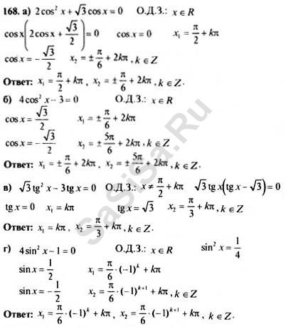
164 | 165 | 166 | 167 | 168 | 169 | 170
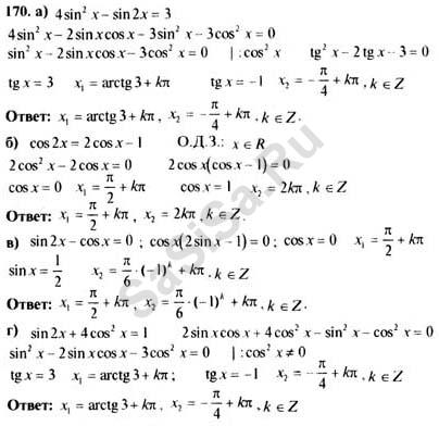
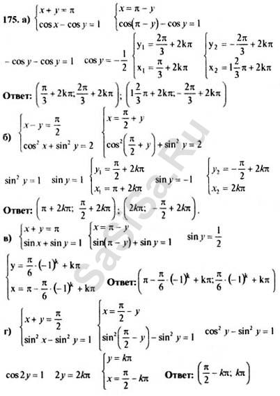
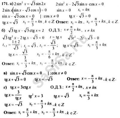
171 | 172 | 173 | 174 | 175 | 176 | 177
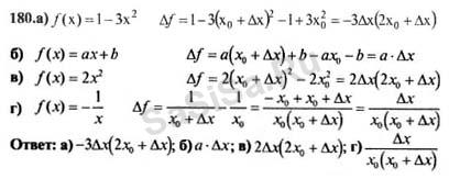
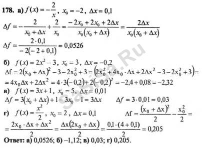
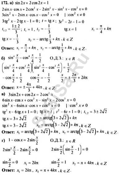
178 | 179 | 180 | 181 | 182 | 183 | 184
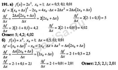
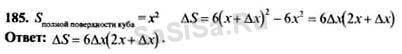
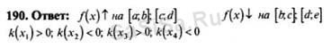
185 | 186 | 187 | 188 | 189 | 190 | 191
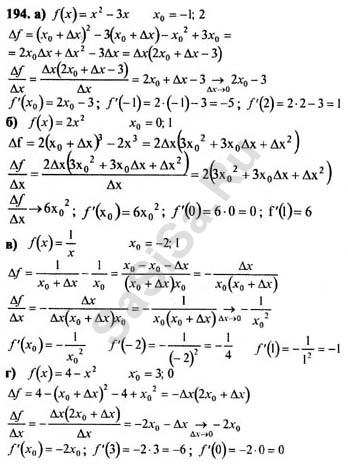
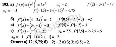
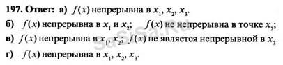
192 | 193 | 194 | 195 | 196 | 197 | 198
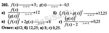
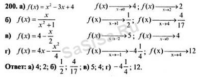
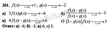
199 | 200 | 201 | 202 | 203 | 204 | 205
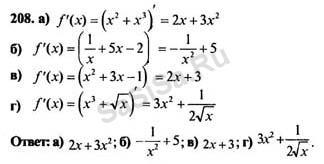
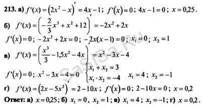
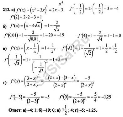
206 | 207 | 208 | 209 | 211 | 212 | 213

Далее »
« Назад
Страница: 1, 2, 3, 4 ... 11, 12, 13
Алгебра, 10 Класс
Школьный раздел
Сервисы | Главная
(c) m.sasisa.cc