Войти на сайт ( )
Алгебра и начала анализа 10-11 класс. Колмогоров А.Н. (10 класс)
Нумерация упражнений в учебнике с 1 по 380 - 10 класс, с 381 по 577 - 11 класс. После каждой главы и в конце учебника есть вопросы и задачи на повторение ответы на них даны в конце списка.
1 | 2 | 3 | 4 | 6 | 7 | 8
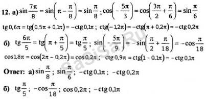
9 | 10 | 11 | 12 | 13 | 14 | 15
16 | 17 | 18 | 19 | 20 | 21 | 22
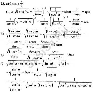
23 | 24 | 25 | 26 | 27 | 28 | 29
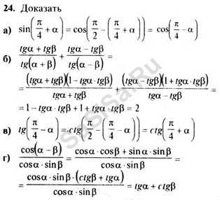
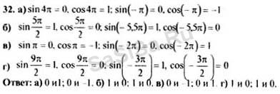
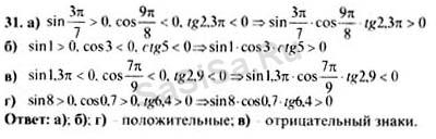
30 | 31 | 32 | 33 | 34 | 35 | 36
37 | 38 | 39 | 40 | 41 | 42 | 43
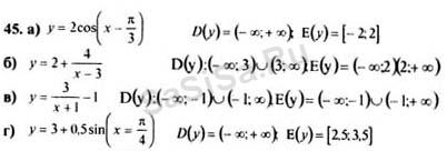
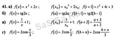
44 | 45 | 46 | 47 | 48 | 49 | 50
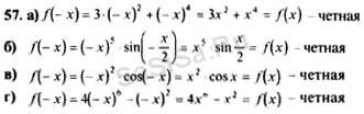
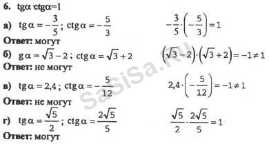
51 | 52 | 53 | 54 | 55 | 56 | 57
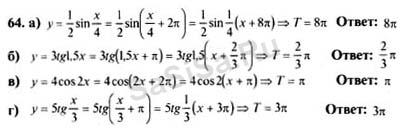
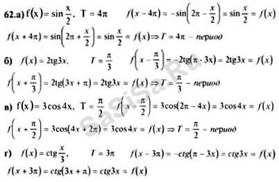
58 | 59 | 60 | 61 | 62 | 63 | 64
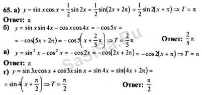
65 | 66 | 67 | 68 | 69 | 70 | 71

Далее »
Страница: 1, 2, 3 ... 11, 12, 13
Алгебра, 10 Класс
Школьный раздел
Сервисы | Главная
(c) m.sasisa.cc