Войти на сайт
(
)
Алгебра и начала анализа 10-11 класс. Алимов Ш.А. (10 класс)
Номер задания
71
|
72
|
73
|
74
|
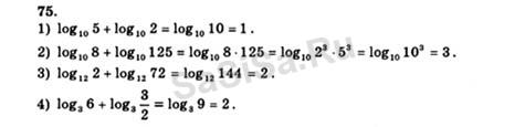
75
|
76
|
77
78
|
79
|
80
|
81
|
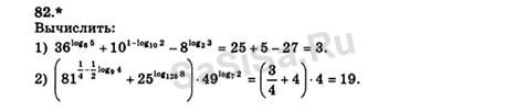
82
|
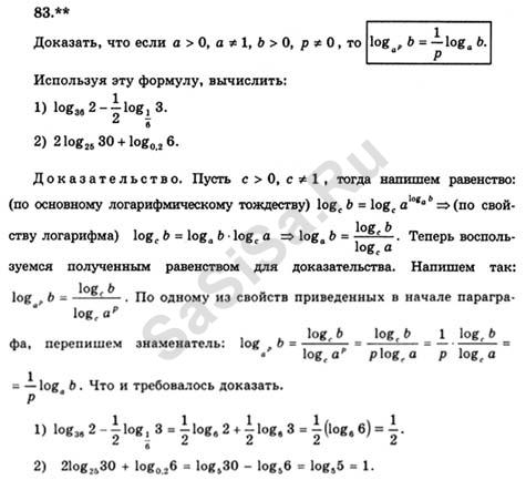
83
|
88
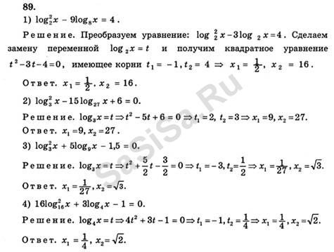
89
|
90
|
94
|
95
|
96
|
97
|
98
99
|
100
|
101
|
102
|
103
|
104
|
105
106
|
107
|
108
|
109
|
110
|
111
|
112
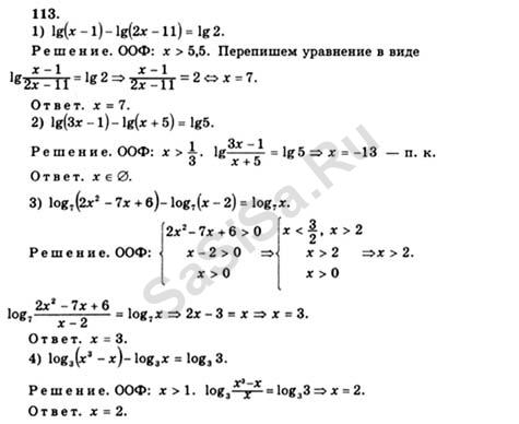
113
|
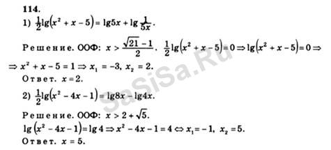
114
|
115
|
116
|
117
|
118
|
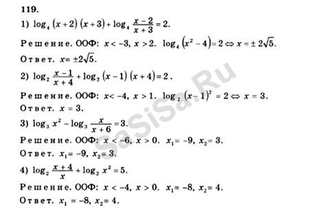
119
120
|
121
|
122
|
123
|
124
|
125
|
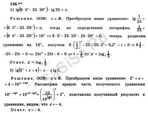
126
127
|
128
|
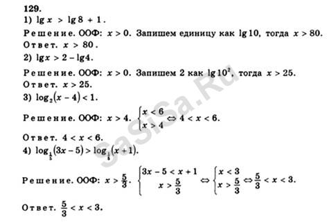
129
|
130
|
131
|
132
|
133
134
|
135
|
136
|
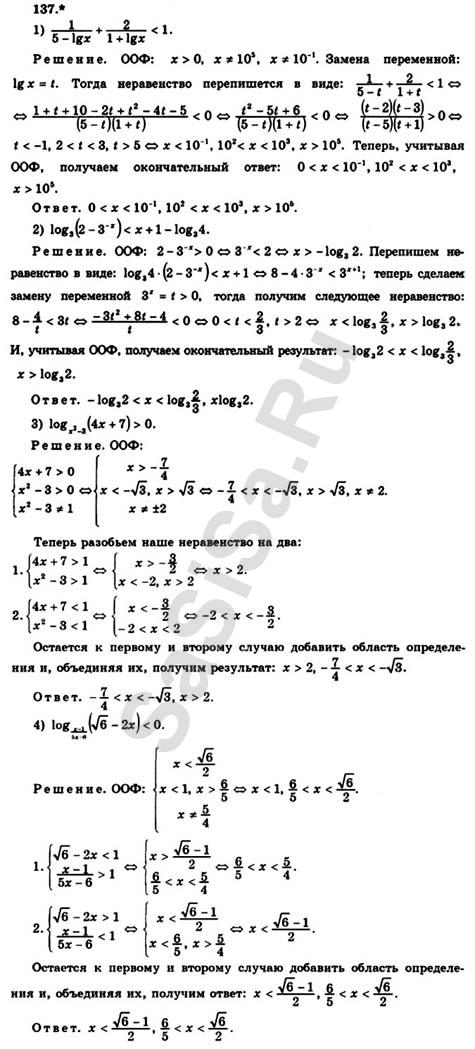
137
|
138
|
139
|
140
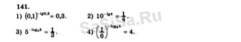
141
|
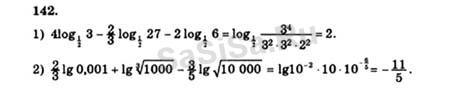
142
|
144
|
145
|
146
|
147
|
148
Далее »
« Назад
Страница:
1
,
2
,
3
, ...
12
,
13
,
14
Алгебра, 10 Класс
Школьный раздел
Сервисы
|
Главная
(c)
m.sasisa.cc