Войти на сайт
(
)
Алгебра и начала анализа 10-11 класс. Алимов Ш.А. (10 класс)
Номер задания
645
|
646
|
647
|
648
|
649
|
650
|
651
652
|
653
|
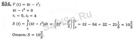
654
|
655
|
656
|
657
|
658
659
|
660
|
661
|
662
|
663
|
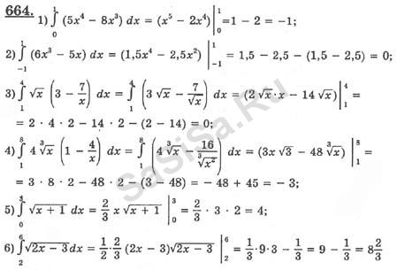
664
|
665
666
|
667
|
668
|
669
|
670
|
671
|
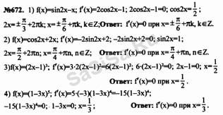
672
673
|
674
|
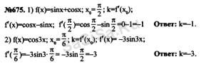
675
|
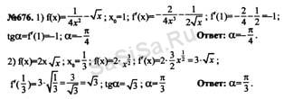
676
|
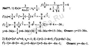
677
|
678
|
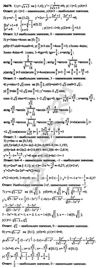
679
680
|
681
|
682
|
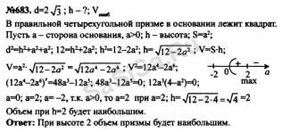
683
|
684
|
685
|
686
687
|
688
|
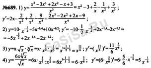
689
|
690
|
691
|
692
|
693
694
|
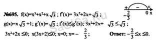
695
|
696
|
697
|
698
|
699
|
700
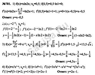
701
|
702
|
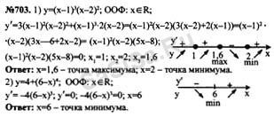
703
|
704
|
705
|
706
|
707
708
|
709
|
710
|
711
|
712
|
713
|
714
Далее »
« Назад
Страница:
1
,
2
,
3
...
9
,
10
,
11
,
12
,
13
,
14
Алгебра, 10 Класс
Школьный раздел
Сервисы
|
Главная
(c)
m.sasisa.cc