Войти на сайт
(
)
Алгебра и начала анализа 10-11 класс. Алимов Ш.А. (10 класс)
Номер задания
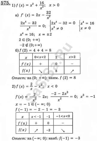
575
|
576
|
577
|
578
|
579
|
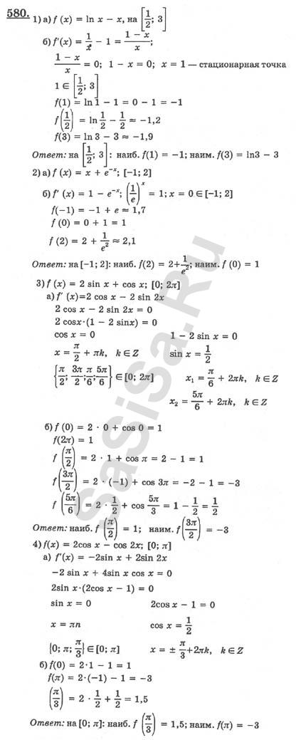
580
|
581
582
|
583
|
584
|
585
|
586
|
587
|
588
589
|
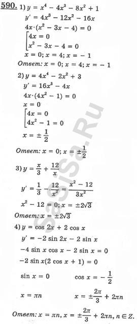
590
|
591
|
592
|
593
|
594
|
595
596
|
597
|
598
|
599
|
600
|
601
|
602
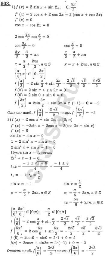
603
|
604
|
605
|
606
|
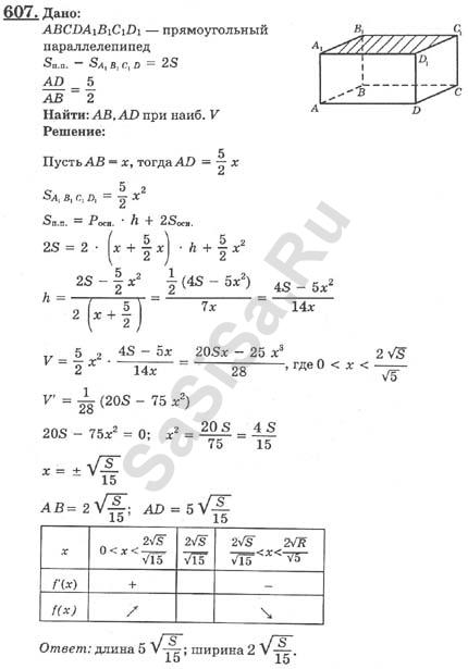
607
|
608
|
609
610
|
611
|
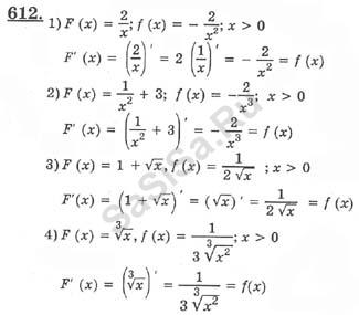
612
|
613
|
614
|
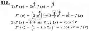
615
|
616
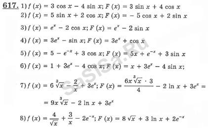
617
|
618
|
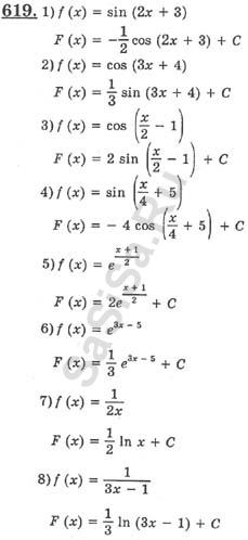
619
|
620
|
621
|
622
|
623
624
|
625
|
626
|
627
|
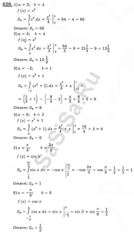
628
|
629
|
630
631
|
632
|
633
|
634
|
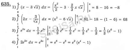
635
|
636
|
637
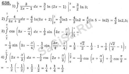
638
|
639
|
640
|
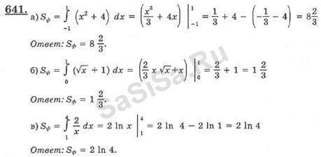
641
|
642
|
643
|
644
Далее »
« Назад
Страница:
1
,
2
,
3
...
8
,
9
,
10
...
12
,
13
,
14
Алгебра, 10 Класс
Школьный раздел
Сервисы
|
Главная
(c)
m.sasisa.cc