Войти на сайт
(
)
Алгебра и начала анализа 10-11 класс. Алимов Ш.А. (10 класс)
Номер задания
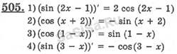
505
|
506
|
507
|
508
|
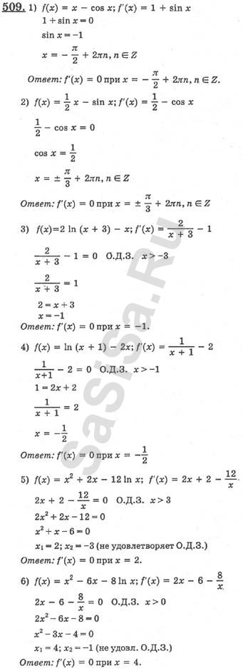
509
|
510
|
511
512
|
513
|
514
|
515
|
516
|
517
|
518
519
|
520
|
521
|
522
|
523
|
524
|
525
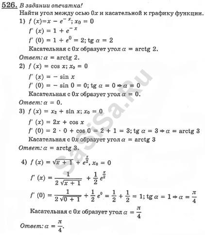
526
|
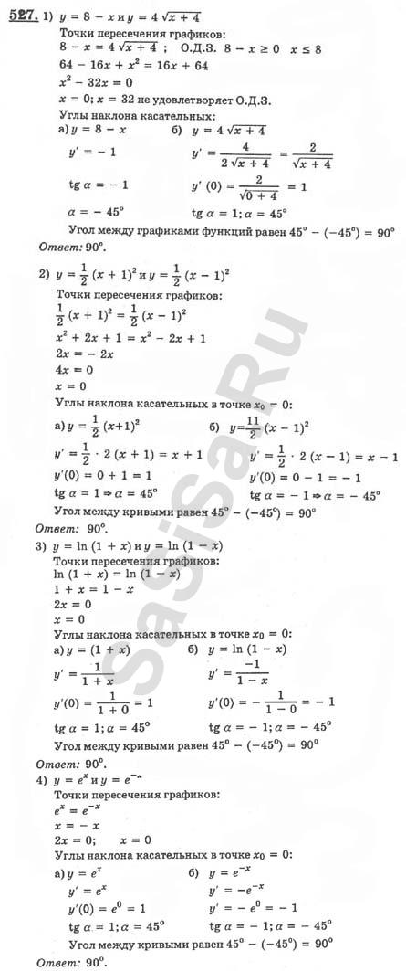
527
|
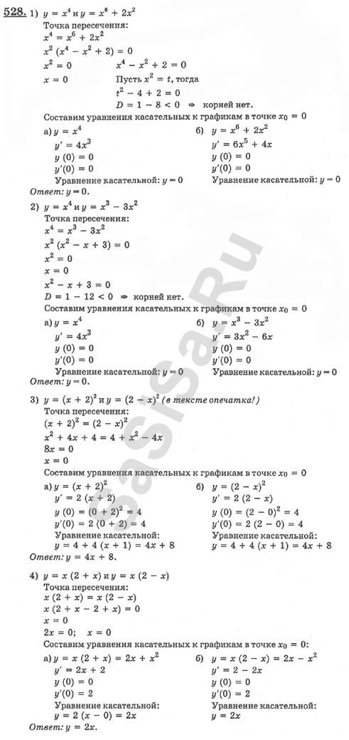
528
|
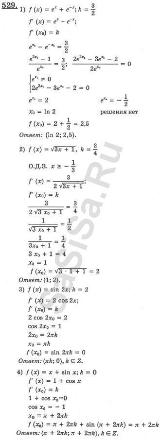
529
|
530
|
531
|
532
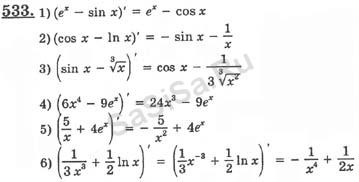
533
|
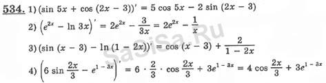
534
|
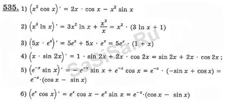
535
|
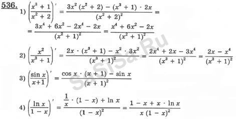
536
|
537
|
538
|
539
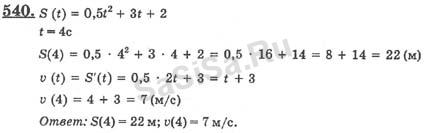
540
|
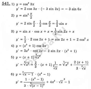
541
|
542
|
543
|
544
|
545
|
546
547
|
548
|
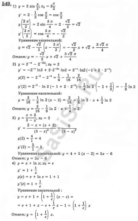
549
|
550
|
551
|
552
|
553
554
|
555
|
556
|
557
|
558
|
559
|
560
561
|
562
|
563
|
564
|
565
|
566
|
567
568
|
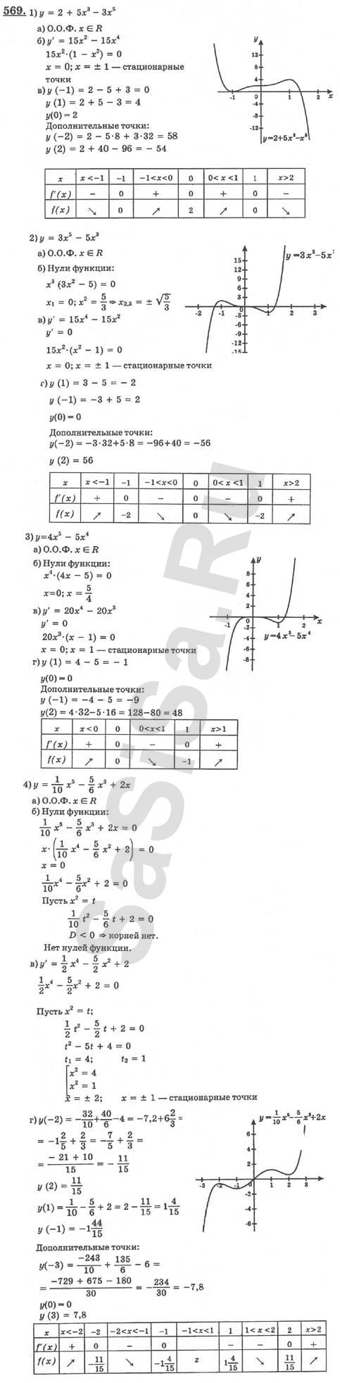
569
|
570
|
571
|
572
|
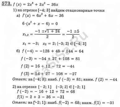
573
|
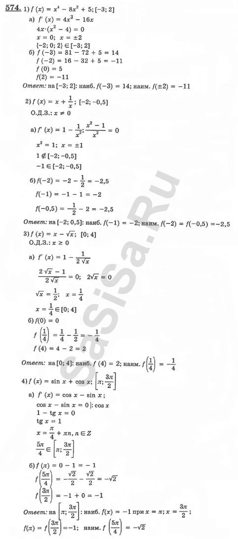
574
Далее »
« Назад
Страница:
1
,
2
,
3
...
7
,
8
,
9
...
12
,
13
,
14
Алгебра, 10 Класс
Школьный раздел
Сервисы
|
Главная
(c)
m.sasisa.cc