Войти на сайт ( )
Физика 7 класс. Перышкин А.В. Родина Н.А. (7 класс)
Страница: 46
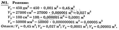
Номер задания
1 | 2 | 3 | 4 |
Физика, 7 Класс
Школьный раздел
Сервисы | Главная
(c) m.sasisa.cc